М
Молодежь
К
Компьютеры-и-электроника
Д
Дом-и-сад
С
Стиль-и-уход-за-собой
П
Праздники-и-традиции
Т
Транспорт
П
Путешествия
С
Семейная-жизнь
Ф
Философия-и-религия
Б
Без категории
М
Мир-работы
Х
Хобби-и-рукоделие
И
Искусство-и-развлечения
В
Взаимоотношения
З
Здоровье
К
Кулинария-и-гостеприимство
Ф
Финансы-и-бизнес
П
Питомцы-и-животные
О
Образование
О
Образование-и-коммуникации
настя14о
настя14о
14.05.2021 15:48 •  Математика

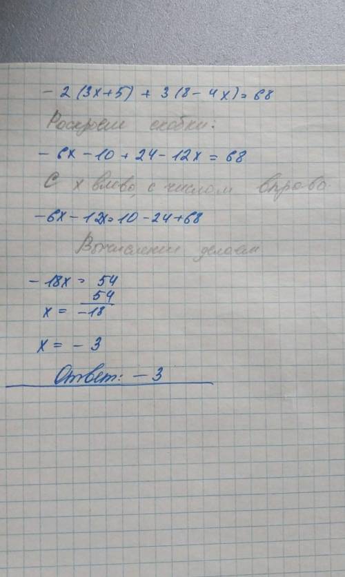
Решите уравнение:

-2(3х +5) + 3(8-4х) = 68​

👇
Ответ:
Erika211
Erika211
14.05.2021

-3

Пошаговое объяснение:

То, что написано карандашом можно не писать, это лишь объяснение, а не решение. Просто на случай если спросят)


Решите уравнение:-2(3х +5) + 3(8-4х) = 68​
4,6(57 оценок)
Открыть все ответы
Ответ:
kotsdanil778
kotsdanil778
14.05.2021
Всего 4 стиля: разговорные, просторечные, книжные и межстилевые.  -разговорные фразеологические обороты: тьма тьмущая, дурак дураком  -просторечные фразеологические обороты: шут гороховый ( пустой человек, чудак, служащий всеобщим посмешищем) ; пренебрежительности, бранности, например: заткни фонтан! (замолчи, заткнись)  -книжные фразеологические обороты: маковой росинки во рту не было, не стоит медного гроша  -межстилевые фразеологические обороты: «к лицу» , «ни капли (ни капельки)»
4,7(96 оценок)
Ответ:
janat8509
janat8509
14.05.2021
Три пакета муки стоят 150 рублей. сколько стоят 5 таких пакетов. решение: 1)150: 3=50(р) стоит один пакет муки. 2)50*5=250(р) стоят пять пакетов муки. за восемь метров ткани заплатили 800 рублей.сколько метров такой же ткани можно купить за 2000 рублей. решение: 1)800: 8=100(р) стоит один метр такой ткани. 2)2000: 100=20(м) ткани можно купить за 2000 рублей. алёна купила 6 кг вишни. из них 3 кг съели за обедом, а из остальных сделали варенье. сколько понадобится для этого сахара, если на один кг абрикосов для варенья-2 кг сахара? решение: 1)6-3=3(кг) вишни осталось. 2)3*2=6(кг) сахара понадобится для варения.
4,5(37 оценок)
Это интересно:
Новые ответы от MOGZ: Математика
logo
Вход Регистрация
Что ты хочешь узнать?
Спроси Mozg
Открыть лучший ответ