М
Молодежь
К
Компьютеры-и-электроника
Д
Дом-и-сад
С
Стиль-и-уход-за-собой
П
Праздники-и-традиции
Т
Транспорт
П
Путешествия
С
Семейная-жизнь
Ф
Философия-и-религия
Б
Без категории
М
Мир-работы
Х
Хобби-и-рукоделие
И
Искусство-и-развлечения
В
Взаимоотношения
З
Здоровье
К
Кулинария-и-гостеприимство
Ф
Финансы-и-бизнес
П
Питомцы-и-животные
О
Образование
О
Образование-и-коммуникации
alona7773
alona7773
22.03.2022 00:30 •  Математика

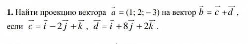
Найти проекцию вектора на вектор если​


Найти проекцию вектора на вектор если​

👇
Открыть все ответы
Ответ:
ArianaZimanina
ArianaZimanina
22.03.2022
В треугольнике ABC бисектриса AD делит угол ВАС пополам. Значит и угол ВАD=DAC=30°. Сумма углов в треугольнике равна 180°, следовательно угол АDC=180°-21°-30°=129°
ADC и ADB - смежные углы, а сумма двух смежных углов равна 180°. Значит АDB=180°-ADC=180°-129°=51°
В треугольнике ADB опять же сумма всех углов равняется 180°.
угол ABD=180°- BAD - ADB = 180°-30°-51°=99°
Проверка: В треугольнике АВС сумма всех углов будет равна 180°. Угол А + угол В + угол С = 60°+99°+21°=180°
ОТВЕТ: Угол В треугольника АВС будет равен 99°
4,7(79 оценок)
Ответ:
grrra1
grrra1
22.03.2022
1)
2х + 9,8 = 13,6
2х = 13,6 - 9,8
2х = 3,8
х = 3,8 : 2
х = 1,9

2 * 1,9 + 9,8 = 13,6
      3,8 + 9,8 =13,6
             13,6 = 13,6
2)
10,36 - 3х = 5,86
- 3х = 5,86 - 10,36
- 3х = - 4,5
х = - 4,5 : (- 3)
х = 1,5

10,36 - 3 * 1,5 = 5,86
     10,36 - 4,5 = 5,86
                5,86 = 5,86
3)
4,2х - 6 = 3,66
4,2х = 3,66 + 6
4,2х = 9,66
х = 9,66 : 4,2
х = 2,3

4,2 * 2,3 - 6 = 3,66
       9,66 - 6 = 3,66
            3,66 = 3,66
4)
19,5 - 0,3х = 15,9
- 0,3х = 15,9 - 19,5
- 0,3х = - 3,6
х = - 3,6 : (- 0,3)
х = 12

19,5 - 0,3 * 12 = 15,9
        19,5 - 3,6 = 15,9
                15,9 = 15,9
5)
(7 - 0,2х) * 1,4 = 7,56
7 - 0,2х = 7,56 : 1,4
7 - 0,2х = 5,4
- 0,2х = 5,4 - 7
- 0,2х = - 1,6
х = - 1,6 : (- 0.2)
х = 8

(7 - 0,2 * 8) * 1,4 = 7,56
      (7 - 1,6) * 1,4 = 7,56
              5,4 * 1,4 = 7,56
                     7,56 = 7,56
6)
(6,1х - 13,2) : 1,7 = 3
6,1х - 13,2 = 3 * 1,7
6,1х - 13,2 = 5,1
6,1х = 5,1 + 13,2
6,1х = 18,3
х = 18,3 : 6,1
х = 3

(6,1 * 3 - 13,2) : 1,7 = 3
   (18,3 - 13,2) : 1,7 = 3
                  5,1 : 1,7 = 3
                             3 = 3
4,6(73 оценок)
Это интересно:
Новые ответы от MOGZ: Математика
logo
Вход Регистрация
Что ты хочешь узнать?
Спроси Mozg
Открыть лучший ответ