М
Молодежь
К
Компьютеры-и-электроника
Д
Дом-и-сад
С
Стиль-и-уход-за-собой
П
Праздники-и-традиции
Т
Транспорт
П
Путешествия
С
Семейная-жизнь
Ф
Философия-и-религия
Б
Без категории
М
Мир-работы
Х
Хобби-и-рукоделие
И
Искусство-и-развлечения
В
Взаимоотношения
З
Здоровье
К
Кулинария-и-гостеприимство
Ф
Финансы-и-бизнес
П
Питомцы-и-животные
О
Образование
О
Образование-и-коммуникации
ForaN777
ForaN777
05.11.2021 14:14 •  Математика

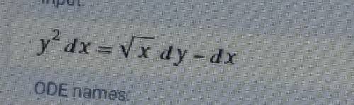
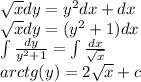
решить Дифференциальное уравнение.


решить Дифференциальное уравнение.

👇
Ответ:
bestschool2
bestschool2
05.11.2021

\sqrt{x} dy = {y}^{2} dx + dx \\ \sqrt{x} dy = ( {y}^{2} + 1)dx \\ \int\limits \frac{dy}{ {y}^{2} + 1} = \int\limits \frac{dx}{ \sqrt{x} } \\ arctg(y) = 2 \sqrt{x} + c

общее решение

4,6(88 оценок)
Открыть все ответы
Ответ:
Matvey1745789
Matvey1745789
05.11.2021
За окном идет дождь. На улице сыро и зябко. Редко человек мелькнет мимо старого окна ветхого дома. Слышен только равномерный шум дождя и звонкий всплеск капель воды, исходящей из крыши дома и ударяющейся в тазик. Стол расположен у окна и, сидя за ним, можно было рассматривать людей, которые обычно прогуливались по парку. Но сегодня не обычный день. Дождь идет, и он рано или поздно закончится. Остаются только мокрые дороги, лужи, грязь и слякоть. Также и жизнь человека: живешь, но вскоре все это останавливается. А что же остается? Остается память о человеке до тех пор, пока живут люди, которые были знакомыми. Когда идет дождь, то его можно осуждать и ним можно восхищаться, он бывает полезным и губительным, бывает теплым летним, а бывает холодным. И как красиво смотреть во время дождя на радугу! Она его украшает, придавая дождю красоту. Что же украшает человека? Одежда, спортивная фигура? Возможно. Но это не главное. Знание и мудрость украшают человека. Все больше не могу писать.. . устал ...давно сочинения не писал.. . -это только вступление а дальше надо красиво описывать что тлько знание и мудрость легко жить человекку и общаться среди других а потом вывод что зание и мудрость - ключевые в характере человека-это по русскому

Терезеден тыс жаңбыр жауады. Көшеде бұл ылғалды және суық. Сирек адам қираған үйдің ескі терезесінен жыпылықтайды. Үйдің төбесінен шығып, бассейнге соғылған су тамшыларының біртекті дыбысы естіледі. Кесте терезе арқылы орналасқан және артында отыра отырып, әдетте саябақта жүрген адамдарды қарастыруға болады. Бірақ бүгінде қарапайым күн емес. Жаңбыр жауады, ол ерте ме, кеш пе. Тек дымқыл жолдар, лужалар, балшық және сулану бар. Адам өмірі де: сіз өмір сүресіз, бірақ көп ұзамай ол тоқтайды. Ал қалғаны қандай? Ол тірі таныс адамдар болғанша, адамның есінде қалады. Жаңбыр жауған кезде оны айыптайды және таңдандырады, пайдалы және жойғыш болуы мүмкін, ол жазда жылы болуы мүмкін және ол суық болуы мүмкін. Жаңбырды радуга түсірудің қаншалықты әдемі! Ол жаңбыр сұлулығын беретін, оны безендіреді. Адамды нені безендіреді? Киім, спорттық фигура? Мүмкіндігінше. Бірақ бұл бастысы емес. Адамның білімі мен даналығы әдемі. Мен көп жаза алмаймын ... шаршаған ... ұзақ уақыт эссе жазған жоқ ... тек кіріспе ғана болып табылады, содан кейін тек білім мен даналықтың кішкентай адамның өмір сүруін және басқалармен қарым-қатынас жасауды жеңілдететінін әдемі сипаттау қажет, содан кейін білім мен даналық адамның сипаты үшін кілт болып табылады-а это по казакский
4,8(19 оценок)
Ответ:
Лчший
Лчший
05.11.2021
1.  | x | = x . если  х >0   |x|= - x , если   х < 0
   Пусть  х > 0    Получим  7х - 2 х = 3 х + 12  
                                            5 х - 3 х = 12
                                            2 х = 12 ⇒  х =6
    Пусть х < 0  ⇒ - 7 х + 2 х = - 3 х + 12
                              - 5 х + 3 х = 12
                               - 2 х = 12  ⇒   х = - 6

2.         | - 3  | (x-6)=0   ⇒ 3·(x-6)=0 ⇒ x-6=0 ⇒ x=6
 
3.  | |  4x+3 | - 5 | = 8  ⇒  | 4x + 3 -5 | = 8  ⇒ | 4 x - 2 | = 8   
      4 x - 2 = 8   ⇒ 4 x = 10   ⇒ x = 10/4= 5/2 = 2,5 ,если  4x-2 > 0  ⇒
       4x > 2 ⇒  X >  1 / 2
   Если  4х -2 < 0  ⇒ -4x + 2 = 8 ⇒ -4x > 6  ⇒ x < 6/ 4 = 3/2 = 1.5   х < 1.5
4,6(49 оценок)
Новые ответы от MOGZ: Математика
logo
Вход Регистрация
Что ты хочешь узнать?
Спроси Mozg
Открыть лучший ответ