М
Молодежь
К
Компьютеры-и-электроника
Д
Дом-и-сад
С
Стиль-и-уход-за-собой
П
Праздники-и-традиции
Т
Транспорт
П
Путешествия
С
Семейная-жизнь
Ф
Философия-и-религия
Б
Без категории
М
Мир-работы
Х
Хобби-и-рукоделие
И
Искусство-и-развлечения
В
Взаимоотношения
З
Здоровье
К
Кулинария-и-гостеприимство
Ф
Финансы-и-бизнес
П
Питомцы-и-животные
О
Образование
О
Образование-и-коммуникации
kirillusupov20ovyv00
kirillusupov20ovyv00
17.10.2022 18:47 •  Математика

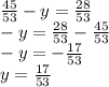
Решите уравнение a) 8/9-x=3/9
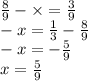
b)45/53-y=28/53
c)z-138/599=461/,599
СОЧ п
ещё подпишусь!​

👇
Ответ:
100profan
100profan
17.10.2022

\frac{8}{9} - \times = \frac{3}{9} \\ - x = \frac{1}{3} - \frac{8}{9} \\ - x = - \frac{5}{9} \\ x = \frac{5}{9}

\frac{45}{53} - y = \frac{28}{53} \\ - y = \frac{28}{53} - \frac{45}{53} \\ - y = - \frac{17}{53} \\ y = \frac{17}{53}

z - \frac{138}{599} = \frac{461}{599} \\ z = \frac{461}{599} + \frac{138}{599} \\ z = 1

Удачи

4,7(84 оценок)
Открыть все ответы
Ответ:
stepvitalii
stepvitalii
17.10.2022
Какова природа ценности, каков ее «онтологический статус» в мире сущего? Представляет ли собой ценность нечто реальное, существует ли она в обычном понимании этого слова? На эти вопросы одним из первых в отечественной литературе попытался ответить О.Г. Дробницкий. Он писал: «Ценности - это, с одной стороны, характеристики предметов (явлений), в которых человек как-то заинтересован и которые он оценивает положительно или отрицательно, а с другой - такие формы сознания, в которых выражено нормативно-оценочное отношение человека к окружающей действительности». Но на чем же мы основываем наши оценки? Если они не произвольны то в самом предмете должно быть нечто такое, что позволяет его оценивать положительно или отрицательно. Например, В.П. Тугаринов полагал, что ценность объективна и что ценности надо исследовать не только в социальном, но и в естественнонаучном плане как явление, имеющее место в природе. По мнению, В.А. Василенко, категория ценности раскрывает один из существенных моментов универсальной взаимозависимости явлений, а именно момент значимости одного явления для бытия другого. Причем «другим» может быть не обязательно человек, но и любой субъект. Под понятием субъекта подпадает любое явление, границы бытия которого можно определить, т.е. всякое явление, вещь, или организм, которые имеют конечное существование.
4,4(15 оценок)
Ответ:
zar26
zar26
17.10.2022
Школьные Знания.com

Задайте вопрос из школьного предмета

1
5-9 АЛГЕБРА

В ряд лежат n монет. За ход разрешается брать одну или две рядом лежащие монеты. Проигрывает тот, кому нечего брать. При каких n у первого игрока есть
выигрышная стратегия?
1
ПОПРОСИ БОЛЬШЕ ОБЪЯСНЕНИЙ СЛЕДИТЬ ОТМЕТИТЬ НАРУШЕНИЕ! от Tzeench29 03.09.2015

ОТВЕТЫ И ОБЪЯСНЕНИЯ
adelli2003 середнячок
2015-09-04T22:27:19+00:00
При любом n первый игрок выигрывает. Если n — нечетное, то пусть первый заберет центральную монету. Если же n — четное, то пусть первый заберет две центральных монеты. Тогда (в обоих случаях) у нас останется две одинаковые кучи монет. Теперь заметим, что по правилам игры мы не можем брать монеты из разных куч, поэтому можно применить симметричную стратегию (её может применить первый игрок). Эта стратегия такова: мы будем брать то же количество монет, которое взял второй игрок, только из другой кучи. Так как после нашего хода всегда получаются две кучи с одинаковым числом монет, а после хода второго количество монет в кучах разное, то при такой стратегии первый игрок победит
4,4(16 оценок)
Новые ответы от MOGZ: Математика
logo
Вход Регистрация
Что ты хочешь узнать?
Спроси Mozg
Открыть лучший ответ