М
Молодежь
К
Компьютеры-и-электроника
Д
Дом-и-сад
С
Стиль-и-уход-за-собой
П
Праздники-и-традиции
Т
Транспорт
П
Путешествия
С
Семейная-жизнь
Ф
Философия-и-религия
Б
Без категории
М
Мир-работы
Х
Хобби-и-рукоделие
И
Искусство-и-развлечения
В
Взаимоотношения
З
Здоровье
К
Кулинария-и-гостеприимство
Ф
Финансы-и-бизнес
П
Питомцы-и-животные
О
Образование
О
Образование-и-коммуникации
msSisi1
msSisi1
01.03.2023 00:08 •  Математика

нужно решить пример с фото,1 и 2,хоть один пример решить


нужно решить пример с фото,1 и 2,хоть один пример решить

👇
Ответ:

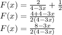
F(x) = \int\limits( \frac{ {x}^{2} }{2} - \cos(3x) )dx = \\ = \frac{ {x}^{3} }{2 \times 3} - \frac{1}{3} \int\limits \cos(3x) d(3x) = \\ = \frac{ {x}^{3} }{6} - \frac{1}{3} \sin(3x) + C

2.

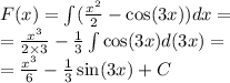
F(x) = \int\limits \frac{6dx}{ {(4 - 3x)}^{2} } = - 6\int\limits \frac{d( - x)}{ {(4 - 3x)}^{2} } = \\ = - 6 \times \frac{1}{3} \int\limits \frac{d( - 3x)}{ {(4 - 3x)}^{2} } = \\ = - 2\int\limits {(4 - 3x)}^{ - 2} d(4 - 3 x) = \\ = - 2 \times \frac{ {(4 - 3x)}^{ - 1} }{( - 1)} + C = \\ = \frac{2}{4 - 3x} + C

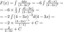
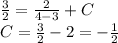
\frac{3}{2} = \frac{2}{4 - 3} + C \\ C = \frac{3}{2} - 2 = - \frac{1}{2}

F(x) = \frac{2}{4 - 3x} + \frac{1}{2} \\ F(x) = \frac{4 + 4 - 3x}{2(4 - 3x)} \\ F(x) = \frac{8 - 3x}{2(4 - 3x)}

4,5(44 оценок)
Открыть все ответы
Ответ:
Dashulechka123456
Dashulechka123456
01.03.2023
Пусть длина будет a, ширина будет b. Так как прямоугольника два, возьмем для каждого соответственно a1,b1,a2,b2. Длина первого и ширина второго прямоугольника нам известны: a1=8 см, b2=5 см, периметр первого прямоугольника P=28 см. Формулы: S1=S2.
1)S1=S2 или a1*b1=a2*b2
2)P=2*a1+2*b1

подставляем во вторую формулу

28см=2*8см+2*b1
16+2*b1=28
2*b1=12
b1=6 (см)- ширина первого прямоугольника.

подставляем в первую формулу

a1*b1=a2*b2
8см*6см=a2*5см
a2=48/5
a2=9,6 (см)- длина второго прямоугольника.

ответ: 9,6 см.
4,7(77 оценок)
Ответ:
Angelina5353
Angelina5353
01.03.2023
Обозначим ширину забора через х  , тогда длинна забора равна 900/х . Пусть у- длина забора, она равна периметру прямоугольника, получим функцию
у=2х +1800/х. найдём производную функции . Она равна 2-1800/х^2, Найдём стационарные точки 2 -1800/х^2=0, -1800/х^2=-2,   2х^2=1800, х^2=900, х=30, х=-30        Определим знак производной на интервалах                              +-30-0__-30___+
Точка х=30 точка минимума, значит минимальная ширина 30 м.,  а длинна 900/30=30  (Ноль отметили на числовой прямой потому, что он не входит в область определения)
4,5(32 оценок)
Новые ответы от MOGZ: Математика
logo
Вход Регистрация
Что ты хочешь узнать?
Спроси Mozg
Открыть лучший ответ