
Ну логика решения у меня была такая
составим уравнение с двумя неизвестными:
(1/3)x+(1/4)x+7+y=x где x- количество всех солдатиков, а y- количество желтых
приведем подобные и получим:
(5/12)x-7=y
Очевидно, что y - это натуральное число (как и x) , тогда нам нужно подобрать такое минимальное натуральное x, чтобы y был натуральным
Дальше идёт простой подбор, в результате которого мы выясним, что минимальный натуральный x, при котором y будет натуральным числом равен 24. Подставим 24 вместо x и получим, что y=3
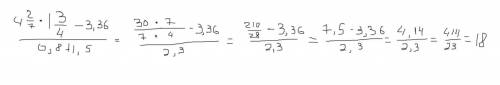
Пошаговое объяснение:
18
Пошаговое объяснение: