М
Молодежь
К
Компьютеры-и-электроника
Д
Дом-и-сад
С
Стиль-и-уход-за-собой
П
Праздники-и-традиции
Т
Транспорт
П
Путешествия
С
Семейная-жизнь
Ф
Философия-и-религия
Б
Без категории
М
Мир-работы
Х
Хобби-и-рукоделие
И
Искусство-и-развлечения
В
Взаимоотношения
З
Здоровье
К
Кулинария-и-гостеприимство
Ф
Финансы-и-бизнес
П
Питомцы-и-животные
О
Образование
О
Образование-и-коммуникации
отличник714
отличник714
19.10.2020 07:39 •  Математика

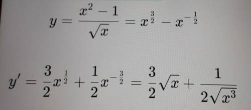
Фото с заданием прикрепил ниже.


Фото с заданием прикрепил ниже.

👇
Ответ:
Barsvtk
Barsvtk
19.10.2020

ответ в фото--------------------------


Фото с заданием прикрепил ниже.
4,4(26 оценок)
Открыть все ответы
Ответ:
natalyasergeev1
natalyasergeev1
19.10.2020
1)  
1 вариант. Произведение  = 0 , если один из множителей = 0
(4,5х  + 3,6 ) * (-16,6 ) = 0
Т.к.  -16,6 ≠ 0  ,  значит   4,5х +3,6 = 0
4,5х = -3,6
х = -3,6 : 4,5
х = -0,8

2 вариант. Разделить  обе части уравнения на  ( -16,6)
(4,5х + 3,6) * (-16,6) = 0            |:  (-16,6)
((4,5х +3,6) * (-16,6) ) / (-16,6) =  0/(-16,6)
4,5х +3,6 = 0
4,5х = -3,6
х = -3,6 : 4,5
х = -0,8

3 вариант. Раскрыть скобки, получится :
4,5 х  * ( - 16,6)  + 3,6 * (-16,6 ) = 0
-74,7х - 59,76=0
-74,7х= 59,76
х= 59,76/ (-74,7) 
х= -0,8 
Варианты №1 и №2   на мой взгляд более приемлемы для решения уравнений данного типа.

2) (1,2х + 16,8 ) * (-13,1) = 0             | : (-13,1)
1,2х + 16,8 = 0
1,2х = -16,8
х =-16,8/1,2
х= - 14
проверим:
(1,2 * (-14)  + 16,8 ) * ( - 13,1 ) = 0 
(-16,8  + 16,8 ) * (-13,1) = 0
0 * (-13,1) = 0
0= 0

3)   -32,7  * (0,1х  + 6,3 ) = 0         | : (-32,7)
0,1х + 6,3 =0
0,1х = -6,3
х = -6,3 / 0,1
х = - 63
проверим:
-32,7 * (0,1 * (-63) +  6,3) = 0
-32,7 *  ( -6,3 + 6,3) = 0
-32,7 * 0 = 0
0= 0
4,4(1 оценок)
Ответ:
1 час = 60 мин   : 20 мин = 1/3 ч
х - истинная скорость велосипедиста , по условию задачи имеем :
40/ х  - 40/(х + 6) = 1/3 умножим обе части уравнения на 3х (х + 6) . Получим : 
40 (х + 6) *3 - 3 *40 *х = х (х + 6)
120х +720 - 120х = x^2 + 6x
x^2 + 6x - 720 = 0     Найдем дискриминант уравнения D .
D = 6^2 - 4*1*(-720) = 36 + 2880 = 2916 . Корень квадратный из дискриминанта равен = 54 . Найдем корни квадратного уравнения : 1-ый = ( - 6 + 54) / 2*1 = 24
2 -ой = (- 6 - 54) / 2*1 = - 30 . Второй корень не подходит так как скорость не может быть меньше 0. ответ:Истинная скорость велосипедиста равна 24 км/ч
4,7(12 оценок)
Это интересно:
Новые ответы от MOGZ: Математика
logo
Вход Регистрация
Что ты хочешь узнать?
Спроси Mozg
Открыть лучший ответ