М
Молодежь
К
Компьютеры-и-электроника
Д
Дом-и-сад
С
Стиль-и-уход-за-собой
П
Праздники-и-традиции
Т
Транспорт
П
Путешествия
С
Семейная-жизнь
Ф
Философия-и-религия
Б
Без категории
М
Мир-работы
Х
Хобби-и-рукоделие
И
Искусство-и-развлечения
В
Взаимоотношения
З
Здоровье
К
Кулинария-и-гостеприимство
Ф
Финансы-и-бизнес
П
Питомцы-и-животные
О
Образование
О
Образование-и-коммуникации
Selrr
Selrr
30.10.2022 10:02 •  Математика

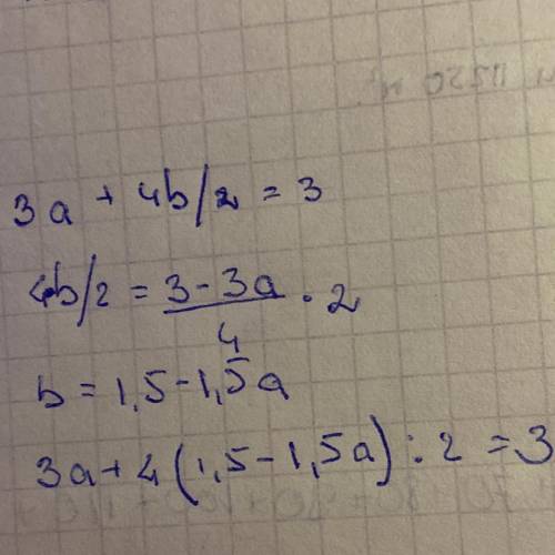
2. В выражении 3a+4b/2=3 переменную b выразите через переменную a.

👇
Ответ:
паро8
паро8
30.10.2022
3а+4(1,5-1,5а):2=3
объяснение на фото
2. В выражении 3a+4b/2=3 переменную b выразите через переменную a.​
4,5(19 оценок)
Открыть все ответы
Ответ:
vikhas123
vikhas123
30.10.2022
Надеюсь это то что тебе нужно

Петя – самый младший в семье Ростовых, любимец матери. Он попадает на войну совсем юным, и главная цель для него – совершить подвиг; стать героем: «... Петя находился в постоянно счастливо-возбужденном состоянии радости на то, что он большой, и в постоянно восторженной поспешности не пропустить какого-нибудь случая настоящего геройства».
Он романтик, война глазами Пети – лишь приключение, возможность испытать себя. Ему не страшно: на войне Петя должен обязательно быть в центре событий, на передовой, чтобы осуществить свою заветную мечту – совершить подвиг, героический поступок. Но «генерал именно запретил Пете участвовать в каких бы то ни было действиях Денисова». Разве романтик может с этим согласиться ? И все же, приказ для военного – закон.
Доброта, которая окружала мальчика в семье, сделала его чутким, отзывчивым к состраданию. «Петя находился в восторженном детском состоянии нежной любви ко всем людям и вследствие того уверенности в такой же любви к себе других людей». И это чувство искреннее. Он любит всех однополчан, пытается сделать для них приятное: предлагает свой ножик, угощает изюмом. В партизанском отряде бойцы любят Петю, относятся к нему по-отечески. Но Ростов стремится выглядеть старше своих лет, доказать окружающим, что он уже взрослый и самостоятельный. И вместе с тем в этом эпизоде он по-детски наивен, хотя и стесняется этого.
Петю беспокоит судьба мальчика-француза, которого взяли в плен. Он ровесник Ростова, такой же юный и неопытный. «Нам-то отлично, а ему каково ? Куда его дели ? Покормили его ? Не обидели ли ?» – внутренний монолог показывает доброжелательное отношение Пети к пленному. Для него Винсент Босс не враг, а попавший в беду совсем юный солдат, и ему просто необходимо Петя просит Денисова пригласить Винсента поужинать вместе с партизанами. Ведь даже к пленным нужно относиться по-человечески. Мальчик-француз видит в Ростове друга, готового прийти на любому в трудную минуту.
4,8(82 оценок)
Ответ:
esmeraldadoctor
esmeraldadoctor
30.10.2022
План:

1)Младший сын.
2)Василий Фёдорович.
3)Дождь, шалаш.
4)барабанщик.
5)Генерал.

Рассказ:
1. Часть
С тех пор как Петя Ростов попал в свой полк, а затем и в действующую армию, он пребывал в возбужденном и радостном состоянии. Однако ему всегда казалось, что все самое геройское происходит где-то там, без него. Поэтому, узнав об отправке человека к Денисову, Петя стал говорить генералу, что это должен быть именно он удовлетворили, но с условием ни в коем случае не участвовать в действиях отряда и, выполнив задание, сразу же вернуться назад. Так начинается «Петя Ростов», отрывок из романа «Война и мир»
Когда Денисов поинтересовался у героя, может ли он остаться, герой смешался. Отправляясь в отряд, Петя был уверен, что он действительно тут же вернется назад. Но увидев французов и узнав, что нынешней ночью непременно будет атака, молодой человек решил, что уважаемый им до этого дня генерал – дрянь, а Денисов и его товарищи - герои. Следовательно, никак нельзя покидать отряд в трудное для него время.

За ужином
2. Часть

Краткое содержание «Пети Ростова» продолжается описанием разговора, происходившего в караулке.

В избе офицеры устроили стол, на котором были водка и ром, хлеб и жареная баранина. Петя поедал душистое мясо, и ему казалось, что в этот момент он влюблен во всех людей. Юноша обратился к Давыдову и попросил отправить его в самую главную… и дать команду. Во время разговора он подарил одному из офицеров свой складной нож, а потом вспомнил об изюме, что привез с собой: «Я привык жевать что-нибудь сладкое». А еще пообещал прислать кофейник, который недавно приобрел у маркитанта.

(Больше не знаю?)
4,4(26 оценок)
Это интересно:
Новые ответы от MOGZ: Математика
logo
Вход Регистрация
Что ты хочешь узнать?
Спроси Mozg
Открыть лучший ответ