М
Молодежь
К
Компьютеры-и-электроника
Д
Дом-и-сад
С
Стиль-и-уход-за-собой
П
Праздники-и-традиции
Т
Транспорт
П
Путешествия
С
Семейная-жизнь
Ф
Философия-и-религия
Б
Без категории
М
Мир-работы
Х
Хобби-и-рукоделие
И
Искусство-и-развлечения
В
Взаимоотношения
З
Здоровье
К
Кулинария-и-гостеприимство
Ф
Финансы-и-бизнес
П
Питомцы-и-животные
О
Образование
О
Образование-и-коммуникации
luicaliber
luicaliber
29.08.2021 03:02 •  Математика

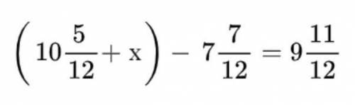
4. Решите уравнение: 7 7 12 5 11 10- +x 12 12
пд у меня соч​


4. Решите уравнение: 7 7 12 5 11 10- +x 12 12пд у меня соч​

👇
Открыть все ответы
Ответ:
nalimovshurik
nalimovshurik
29.08.2021
Решение: Скорость движения первого туриста равна 7,5 км/ч, а скорость движения второго туриста в 2,25 раз меньше скорости первого туриста. Отсюда, скорость второго туриста равна 7,5 / 2,25. Получаем скорость второго туриста равную 3 целых 1/3. Так как туристы движутся в одном направлении, найдем разность скорость их скоростей 15 / 2 - 10 /3 = (45-20) / 6 = 25 / 6 км/ч. Для того, чтобы найти время, за которое первый турист догонит второго, необходимо 10 км (расстояние) разделить на 25 / 6 км/ч (скорость). В результате получаем время, равное (10 х 6) / 25 = 12 /5 = 2,4 часа. ответ: 2,4 часа.
4,4(80 оценок)
Ответ:
helljump
helljump
29.08.2021
А.) -2+х=4.3 х=4.3-(-2)=4.3+2 х=6.3 ответ: х=6.3 -2+6.3=4.3 б.) 8,1+у=-6 у=-6-8.1=-6+(-8.1)=-(6+8.1) у=-14.1 ответ: у=-14.1 8.1+(-14.1)=-6 в.) 5-х=1,7 х=5-1,7 х=4,3 ответ: х=4,3 5-4,3=1,7 г.) 4-у=-2 2/3 у=4-(-2 2/3)=4+2 2/3 у=6 2/3 ответ: у= 6 2/3 4-6 2/3=-2 2/3 д.) z+7/18=-2/3 z=-2/3-7/18=-12/18-7/18=-12/18+(-7/18)=-1 1/18 ответ: z= -1 1/18 -1 1/18+7/18=19/18-7/18=12/18=2/3 ✨ e.) z+0,4=-1 2/3 z= -1 2/3-4/10=-1 20/30-12/30=-1 20/30+(-12/30) z=-2 2/30=-2 1/15 ответ: z= -2 1/15 -2 1/15+4/10=-2 2/30+12/30=-(1 32/30-12/30)=-1 2/3 Всё.
4,8(62 оценок)
Новые ответы от MOGZ: Математика
logo
Вход Регистрация
Что ты хочешь узнать?
Спроси Mozg
Открыть лучший ответ