М
Молодежь
К
Компьютеры-и-электроника
Д
Дом-и-сад
С
Стиль-и-уход-за-собой
П
Праздники-и-традиции
Т
Транспорт
П
Путешествия
С
Семейная-жизнь
Ф
Философия-и-религия
Б
Без категории
М
Мир-работы
Х
Хобби-и-рукоделие
И
Искусство-и-развлечения
В
Взаимоотношения
З
Здоровье
К
Кулинария-и-гостеприимство
Ф
Финансы-и-бизнес
П
Питомцы-и-животные
О
Образование
О
Образование-и-коммуникации
katyakot2299
katyakot2299
10.12.2021 22:05 •  Математика

Дифференциальные уравнения


Дифференциальные уравнения

👇
Ответ:
alenamalaya20
alenamalaya20
10.12.2021

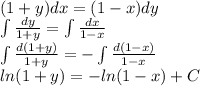
1)

(1 + y)dx = (1 - x)dy \\ \int\limits \frac{dy}{1 + y } = \int\limits \frac{dx}{1 - x} \\ \int\limits \frac{d(1 + y) }{1 + y} = - \int\limits \frac{d(1 - x)}{1 - x} \\ ln(1 + y) = - ln(1 - x) + C

общее решение

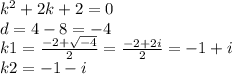
2)

y'' + 2y' + 2 = 0

замена:

y = {e}^{kx}

{k}^{2} + 2k + 2 = 0 \\ d = 4 - 8 = - 4 \\ k1 = \frac{ - 2 + \sqrt{ - 4} }{2} = \frac{ - 2 + 2i}{2} = - 1 + i \\ k2 = - 1 - i

y = {e}^{ - x} (C1 \sin(x) + C2 \cos(x))

общее решение

4,6(36 оценок)
Открыть все ответы
Ответ:
mmmm0
mmmm0
10.12.2021
рассматривал выпуклые четырехугольники, в их пересечении максимум, что может получится так это восьмиугольник

а вот при пересечении двух невыпуклых четырехугольников, может получится десятиугольник, причемих общем многоугольнике получается НЕ БОЛЬШЕ 10 УГЛОВ

одна сторона четырехугольника может давать нам:

 либо 1 сторону монгоугольника (при пересечении этой стороны двумя сторонами другого четырехугольника)
либо 2 стороны многоугольника (при пересечении этой стороны 4 сторонами другого четырехугольника) - таких сторон может быть только две,(сторона первого четырехугольника, пересекающая 4 стороны второго, и сторона второго четырехугольника,пересекающая 4 стороны первого)

значит мы уже имеем 2*2 = 4 стороны нашего общего многоугольника
8 - общее количество сторон 2-ух четырехугольников
8 - 2 = 6 (сторон осталось, которые при пересечении образовали по одной стороне нашего общего многоугольника)
6*1 + 4 = 10 всего сторон может быть 
4,6(83 оценок)
Ответ:
Рассмотрим условие "каждая цифра в записи — квадрат некоторого целого числа". Поскольку a,b,c- цифры, т.е. целые однозначные числа, то варианты квадратов это
0^2=0,   1^2=1,   2^2=4,   3^2=9, остальные не подходят,т.к. в квадрате дают двузначное число.
Т.о. a,b,c могут быть только 0,1,4 или  9.

Рассмотрим условие "сумма цифр числа abcb равна числу, которое записывается как ab".
а+b+c+b=a+2b+c
ab=10a+b
a+2b+c=10a+b
c=9a-b
При "a,b,c могут быть только 0,1,4 или  9."
При ближайшем рассмотрении остается только два варианта
9=9*1-0, т.е. а=1, b=0,с=9
Это 1091

и
0=9*1-9
Это 1909

Из этих вариантов 1909>1091.

ответ: 1909

Если Вы, конечно, правильно написали условие abcb, а не abcd
4,4(8 оценок)
Это интересно:
Новые ответы от MOGZ: Математика
logo
Вход Регистрация
Что ты хочешь узнать?
Спроси Mozg
Открыть лучший ответ