М
Молодежь
К
Компьютеры-и-электроника
Д
Дом-и-сад
С
Стиль-и-уход-за-собой
П
Праздники-и-традиции
Т
Транспорт
П
Путешествия
С
Семейная-жизнь
Ф
Философия-и-религия
Б
Без категории
М
Мир-работы
Х
Хобби-и-рукоделие
И
Искусство-и-развлечения
В
Взаимоотношения
З
Здоровье
К
Кулинария-и-гостеприимство
Ф
Финансы-и-бизнес
П
Питомцы-и-животные
О
Образование
О
Образование-и-коммуникации
55d
55d
05.10.2021 21:50 •  Математика

Математика

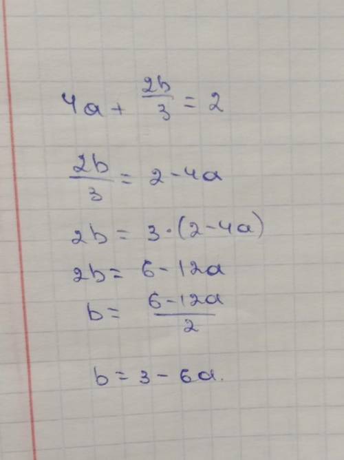
Выразите переменную b через переменную а в выражение
4а+2b/ 3 =2 ​

👇
Ответ:
elf35
elf35
05.10.2021

Все решение на фотографии


Математика Выразите переменную b через переменную а в выражение 4а+2b/ 3 =2 ​
4,7(83 оценок)
Открыть все ответы
Ответ:
Skynet14
Skynet14
05.10.2021
Сначала узнаем, сколько человек участвовало в соревнованиях. Известно, что 102 человека составляют 3 / 7всех участников соревнований. Мы делим 102 на 3 и узнаем седьмую часть от всех участников соревнований (102 : 3 = 34) Потом умножаем 34 на семь и получаем сколько детей было на соревнованиях (34 * 7 = 238)\
Теперь мы узнаем по тому же принципу количество человек, участвовавших в соревнованиях по прыжкам в высоту - 238 : 34 * 5 = 35 чел. Дальше из всего количество участников вычитаем участников соревнований по бегу и по прыжкам в высоту и получаем ответ : 238 - 102 - 35=101
4,7(57 оценок)
Ответ:
Всех участников соревнований примем за единицу (целое).
1) 7/15 + 2/5 = 7/15 + 6/15 = 13/15 - часть участников, принявших участие в соревнованиях по бегу и по прыжкам в высоту;
2) 1 - 13/15 = 15/15 - 13/15 = 2/15 - остальная часть участников, равная 36.
3) Находим целое по его части:
36 : 2/15 = 36 : 2 * 15 = 270 (чел.) - все участники соревнований.
ответ: 270 участников.

Проверка:
7/15 * 270 = 270 : 15 * 7 = 126 - бегуны
2/5 * 270 = 270 : 5 * 2 = 108 - прыгуны    (2/5 = 6/15)
2/15 * 270 = 270 : 15 * 2 = 36 - остальные участники
7/15 + 6/15 + 2/15 = 15/15 = 1 (целое)
126 + 108 + 36 = 270 (чел.) - все участники
4,5(15 оценок)
Это интересно:
Новые ответы от MOGZ: Математика
logo
Вход Регистрация
Что ты хочешь узнать?
Спроси Mozg
Открыть лучший ответ