
. Условие, что выражение равно единице, можно записать так:
(100 + n)k(100 - n)l = 100k + l. Так как правая часть четна, то и левая часть должна быть четна, значит, n четно. Аналогично, левая часть делится на 5, значит, n делится на 5. Значит, n делится на 10. Можно перебрать все 9 возможных вариантов: n = 10, 20, ..., 90. Например, если n = 10, то левая часть делится на 11, что невозможно.Можно обойтись без перебора: пусть n не делится на 25. Тогда числа 100 - n и 100 + n тоже не делятся на 25. Значит, пятерка входит в разложение левой части на простые множители ровно k + l раз. Но она входит в разложение правой части 2(k + l ) раз -- противоречие. Итак, n делится на 25. Аналогично доказывается, что n делится на 4. Но тогда n делится на 100, что невозможно, ибо 0 < n < 100.
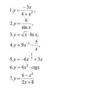
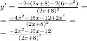
1.
2.
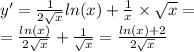
3.
4.
5.
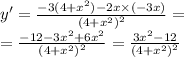
6.
7.