М
Молодежь
К
Компьютеры-и-электроника
Д
Дом-и-сад
С
Стиль-и-уход-за-собой
П
Праздники-и-традиции
Т
Транспорт
П
Путешествия
С
Семейная-жизнь
Ф
Философия-и-религия
Б
Без категории
М
Мир-работы
Х
Хобби-и-рукоделие
И
Искусство-и-развлечения
В
Взаимоотношения
З
Здоровье
К
Кулинария-и-гостеприимство
Ф
Финансы-и-бизнес
П
Питомцы-и-животные
О
Образование
О
Образование-и-коммуникации
vkonareva
vkonareva
05.09.2020 12:06 •  Математика

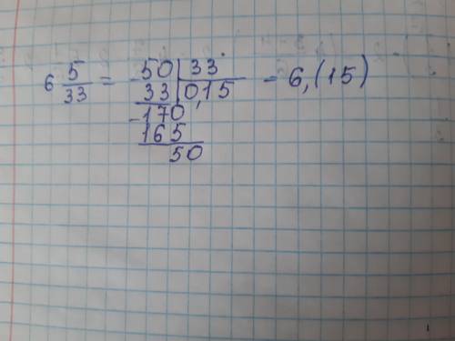
Выразите в виде десятичной конечной или периодической дроби:

6
5
/33

.​

👇
Ответ:
irunadp0a62f
irunadp0a62f
05.09.2020

6 целых 5/33 = 6, (15)

Пошаговое объяснение:

Для того,чтобы превратить обыкновенную дробь в десятичную, нужно чслитель поделить на знаменатель.


Выразите в виде десятичной конечной или периодической дроби: 6 5 /33.​
4,7(96 оценок)
Открыть все ответы
Ответ:
ainura8326
ainura8326
05.09.2020

а) По формуле Герона:

S=\sqrt{p \cdot (p-a) \cdot (p-b) \cdot (p-c)}

S=  

p⋅(p−a)⋅(p−b)⋅(p−c)

​  

 

, где:

p={a+b+c \over 2}

p=  

2

a+b+c

​  

 

— полупериметр.

p={3+4+5 \over 2}=6

p=  

2

3+4+5

​  

=6

S=\sqrt{6 \cdot (6-3) \cdot (6-4) \cdot (6-5)} = 6

S=  

6⋅(6−3)⋅(6−4)⋅(6−5)

​  

=6

S = 6S=6

б)По формуле Герона:

S=\sqrt{p \cdot (p-a) \cdot (p-b) \cdot (p-c)}

S=  

p⋅(p−a)⋅(p−b)⋅(p−c)

​  

 

, где:

p={a+b+c \over 2}

p=  

2

a+b+c

​  

 

— полупериметр.

p={13+14+15 \over 2}=21

p=  

2

13+14+15

​  

=21

S=\sqrt{21 \cdot (21-13) \cdot (21-14) \cdot (21-15)} = 84

S=  

21⋅(21−13)⋅(21−14)⋅(21−15)

​  

=84

S = 84S=84

в)По формуле Герона:

S=\sqrt{p \cdot (p-a) \cdot (p-b) \cdot (p-c)}

S=  

p⋅(p−a)⋅(p−b)⋅(p−c)

​  

 

, где:

p={a+b+c \over 2}

p=  

2

a+b+c

​  

 

— полупериметр.

p={31+45+51 \over 2}=63.5

p=  

2

31+45+51

​  

=63.5

S=\sqrt{63.5 \cdot (63.5-31) \cdot (63.5-45) \cdot (63.5-51)} = 690.827

S=  

63.5⋅(63.5−31)⋅(63.5−45)⋅(63.5−51)

​  

=690.827

S = 690.827S=690.827

г)По формуле Герона:

S=\sqrt{p \cdot (p-a) \cdot (p-b) \cdot (p-c)}

S=  

p⋅(p−a)⋅(p−b)⋅(p−c)

​  

 

, где:

p={a+b+c \over 2}

p=  

2

a+b+c

​  

 

— полупериметр.

p={9+21+15 \over 2}=22.5

p=  

2

9+21+15

​  

=22.5

S=\sqrt{22.5 \cdot (22.5-9) \cdot (22.5-21) \cdot (22.5-15)} = 58.457

S=  

22.5⋅(22.5−9)⋅(22.5−21)⋅(22.5−15)

​  

=58.457

S = 58.457S=58.457

д)По формуле Герона:

S=\sqrt{p \cdot (p-a) \cdot (p-b) \cdot (p-c)}

S=  

p⋅(p−a)⋅(p−b)⋅(p−c)

​  

 

, где:

p={a+b+c \over 2}

p=  

2

a+b+c

​  

 

— полупериметр.

p={30+40+50 \over 2}=60

p=  

2

30+40+50

​  

=60

S=\sqrt{60 \cdot (60-30) \cdot (60-40) \cdot (60-50)} = 600

S=  

60⋅(60−30)⋅(60−40)⋅(60−50)

​  

=600

S = 600S=600

Пошаговое объяснение:

4,5(89 оценок)
Ответ:
scrubble
scrubble
05.09.2020
   8 Л      5Л
    0       5                (набираем 5л в 5л)   
    5       0                переливаем из 5л в 8л     
    5       5                снова набираем 5л в 5л  
    8       2                переливаем из 5л в 8л    
    0       2                выливаем из 8л    
    2       5                переливаем из 5л(2) в 8л(0) и набираем 5л в 5л     
    7       0                переливаем из 5л в 8л      
    7       5                набираем 5л      
    8       4                переливаем из 5л в 8л     
    0       4                выливаем 8л      
    4       0                переливаем из 5л в 8л     
    4       5                набираем 5л в 5л     
    8       1           (из 5Л в 8Л переливаем)          
    0       1           (выливаем из 8)          
    1       0            (выливаем из 5)       
    1      5           набираем 5л в 5 лв          
    6      0            переливаем из 5л в 8л
 
 
 возможно есть решение и покороче, но и это тоже решение.(т.к. нет лимита на переливания)
    
                                
                                
                                
                                
                                
4,6(40 оценок)
Это интересно:
Новые ответы от MOGZ: Математика
logo
Вход Регистрация
Что ты хочешь узнать?
Спроси Mozg
Открыть лучший ответ