М
Молодежь
К
Компьютеры-и-электроника
Д
Дом-и-сад
С
Стиль-и-уход-за-собой
П
Праздники-и-традиции
Т
Транспорт
П
Путешествия
С
Семейная-жизнь
Ф
Философия-и-религия
Б
Без категории
М
Мир-работы
Х
Хобби-и-рукоделие
И
Искусство-и-развлечения
В
Взаимоотношения
З
Здоровье
К
Кулинария-и-гостеприимство
Ф
Финансы-и-бизнес
П
Питомцы-и-животные
О
Образование
О
Образование-и-коммуникации
ola124
ola124
29.09.2022 06:15 •  Математика

По данным опыта найти формулу виды y=ax+b методом наименьших квадратов. Сделать чертеж. Все остальное на фото. Заранее благодарю.


По данным опыта найти формулу виды y=ax+b методом наименьших квадратов. Сделать чертеж. Все остально

👇
Ответ:
danilcs02
danilcs02
29.09.2022

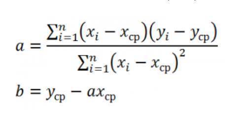
Все данные во вложениях.

Формула линейной аппроксимации: y = -0,730x + 4,59.


По данным опыта найти формулу виды y=ax+b методом наименьших квадратов. Сделать чертеж. Все остально
По данным опыта найти формулу виды y=ax+b методом наименьших квадратов. Сделать чертеж. Все остально
По данным опыта найти формулу виды y=ax+b методом наименьших квадратов. Сделать чертеж. Все остально
4,6(49 оценок)
Открыть все ответы
Ответ:
katrinmirz
katrinmirz
29.09.2022
(1)(22-18):2=2 (км/ч) скорость течения
22-2=20 (км/ч) собственная скорость катера
ответ:2,20

(2)

1. Найдем с какой скоростью в час шла моторная лодка по течению реки, если известно, что за 3 часа она километров.

48 / 3 = 16 километров.

2. Вычислим скорость моторной лодки против течения реки, если известно, что 48 километров она за 4 часа.

48 / 4 = 12 километров.

3. Найдем скорость течения реки.

(16 - 12) / 2 = 2 километра.

ответ: Скорость течения реки два километра в час.

(3)

1. Узнаем какая скорость катера по течению.
72/2=36 километров в час
2. Узнаем какая скорость катера против течения.
72/3=24 километра в час
3. Найдем скорость течения реки.
(36-24)/2=6 километров в час
4. Узнаем за сколько часов это расстояние проплывут плоты.
72/6=12 часов 
ответ: За двенадцать часов проплывут плоты расстояние в семьдесят два километра.
4,8(30 оценок)
Ответ:
saidos1000
saidos1000
29.09.2022
(1)(22-18):2=2 (км/ч) скорость течения
22-2=20 (км/ч) собственная скорость катера
ответ:2,20

(2)

1. Найдем с какой скоростью в час шла моторная лодка по течению реки, если известно, что за 3 часа она километров.

48 / 3 = 16 километров.

2. Вычислим скорость моторной лодки против течения реки, если известно, что 48 километров она за 4 часа.

48 / 4 = 12 километров.

3. Найдем скорость течения реки.

(16 - 12) / 2 = 2 километра.

ответ: Скорость течения реки два километра в час.

(3)

1. Узнаем какая скорость катера по течению.
72/2=36 километров в час
2. Узнаем какая скорость катера против течения.
72/3=24 километра в час
3. Найдем скорость течения реки.
(36-24)/2=6 километров в час
4. Узнаем за сколько часов это расстояние проплывут плоты.
72/6=12 часов 
ответ: За двенадцать часов проплывут плоты расстояние в семьдесят два километра.
4,6(15 оценок)
Новые ответы от MOGZ: Математика
logo
Вход Регистрация
Что ты хочешь узнать?
Спроси Mozg
Открыть лучший ответ