М
Молодежь
К
Компьютеры-и-электроника
Д
Дом-и-сад
С
Стиль-и-уход-за-собой
П
Праздники-и-традиции
Т
Транспорт
П
Путешествия
С
Семейная-жизнь
Ф
Философия-и-религия
Б
Без категории
М
Мир-работы
Х
Хобби-и-рукоделие
И
Искусство-и-развлечения
В
Взаимоотношения
З
Здоровье
К
Кулинария-и-гостеприимство
Ф
Финансы-и-бизнес
П
Питомцы-и-животные
О
Образование
О
Образование-и-коммуникации
Motia2k17
Motia2k17
22.05.2023 00:53 •  Математика

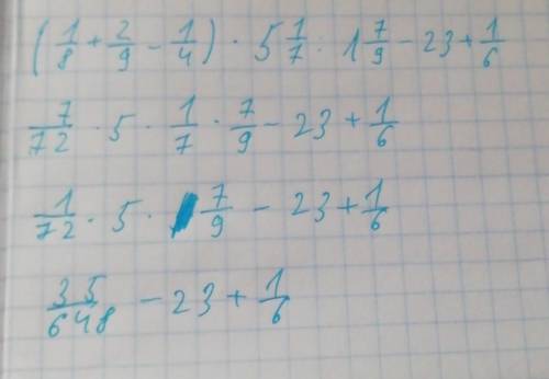
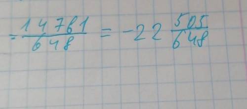
скобки открываются 1/8 + 2 / 9 - 1 / 4 скобка закрывается умножить на 5 1/7 / 1 7/9 - 23 + 1 / 6 равно​

👇
Ответ:
hikka137
hikka137
22.05.2023

Все решения на фото, познач як краща відповідь


скобки открываются 1/8 + 2 / 9 - 1 / 4 скобка закрывается умножить на 5 1/7 / 1 7/9 - 23 + 1 / 6 рав
скобки открываются 1/8 + 2 / 9 - 1 / 4 скобка закрывается умножить на 5 1/7 / 1 7/9 - 23 + 1 / 6 рав
4,7(12 оценок)
Открыть все ответы
Ответ:
Nagoshkaa
Nagoshkaa
22.05.2023
Воду нельзя применять для тушения веществ, бурно реагирующих с ней с выделением тепла, горючих, а также токсичных и коррозионно-активных газов. К таким веществам относятся многие металлы, металлоорганические соединения, карбиды и гидриды металлов, раскаленные уголь и железо. 

Кроме того, нельзя применять воду для тушения нефти и нефтепродуктов, поскольку может произойти выброс или разбрызгивание горящих продуктов. 
Основным средством тушения нефти и нефтепродуктов является воздушно-механическая пена. 
Огнетушащее действие воздушно-механической пены заключается в изоляции поверхности горючего от факела пламени, снижении вследствие этого скорости испарения жидкости и сокращении количества горючих паров, поступающих в зону горения, а также в охлаждении горящей жидкости. 

Водой также нельзя тушить электропроводку, поскольку вода — проводник электричества.
4,5(75 оценок)
Ответ:
1КрУтАя1
1КрУтАя1
22.05.2023
Условие задачи:
Расстояние = 63км по течению, 63км против течения
Скорость теч. = 6км/ч
Скорость по течению = 15 + 6 = ?
Скорость против течения = 15 - 6 = ?
Время   по течению = ?
Время против течения = ?
Время по течению + время против течения = ?

Решение задачи:
1) 15 + 6 = 21(км/ч) скорость катера по течению
2) 15 - 6 = 9(км/ч) скорость катера против течения
3) 63 : 21 = 3(часа) затратит катер на путь по течению
4) 63 : 9 = 7(часов) затратит катер на путь против течения
5) 3 + 7 = 10(часов)
ответ: 10 часов затратит катер на один рейс туда и обратно.
4,6(88 оценок)
Это интересно:
Новые ответы от MOGZ: Математика
logo
Вход Регистрация
Что ты хочешь узнать?
Спроси Mozg
Открыть лучший ответ