М
Молодежь
К
Компьютеры-и-электроника
Д
Дом-и-сад
С
Стиль-и-уход-за-собой
П
Праздники-и-традиции
Т
Транспорт
П
Путешествия
С
Семейная-жизнь
Ф
Философия-и-религия
Б
Без категории
М
Мир-работы
Х
Хобби-и-рукоделие
И
Искусство-и-развлечения
В
Взаимоотношения
З
Здоровье
К
Кулинария-и-гостеприимство
Ф
Финансы-и-бизнес
П
Питомцы-и-животные
О
Образование
О
Образование-и-коммуникации
Bogqwerty
Bogqwerty
17.03.2023 15:32 •  Математика

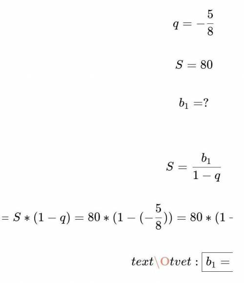
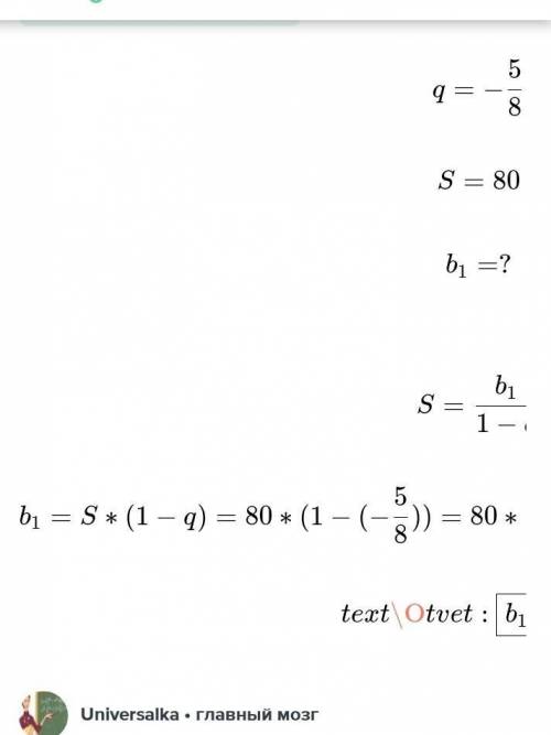
Найдите первый член бесконечно убываниющей геометрической прогрессии если известно q=3/7 S=42​

👇
Ответ:
ИришкаTV
ИришкаTV
17.03.2023

на подпишись

))))))???)))))))))))))))))))))


Найдите первый член бесконечно убываниющей геометрической прогрессии если известно q=3/7 S=42​
Найдите первый член бесконечно убываниющей геометрической прогрессии если известно q=3/7 S=42​
4,8(1 оценок)
Открыть все ответы
Ответ:
cheropitan
cheropitan
17.03.2023
1) Пассажирский поезд км за 2 часа, узнай с какой скоростью он двигался.
S= 120 км
t=2 ч
v=? км/ч
Решение
v(скорость)=S(расстояние):t(время) = 120:2=60 (км/ч)
ответ: скорость пассажирского поезда равна 60 км/ч.

2) Товарный поезд км за 3 часа. С какой скоростью двигался поезд?
S= 120 км
t=3 ч
v=? км/ч
Решение
v(скорость)=S(расстояние):t(время) = 120:3=40 (км/ч)
ответ: скорость товарного поезда равна 40 км/ч.

3) Рассмотри таблицу. Объясни как можно найти скорость (v), зная пройденное расстояние (S) и время движения (t).
Задачи на движение: S(расстояние)=v(скорость)*t(время).
Отсюда, v=S:t
4,6(34 оценок)
Ответ:
vinogradka009
vinogradka009
17.03.2023

Мода последнего времени на винтажные изделия, автомобили и одежду в стиле ретро не обошла стороной и дизайн деревянных изделий. Обработка дерева под старину позволяет и в новостройках создать интерьер, который выглядит так, будто квартира досталась хозяевам в наследство от прадедов. Хозяева загородных домов оформляют старым деревом фасады и внутреннее пространство. Из искусственно состаренного дерева делают декоративные фальшбалки на потолке, лестницы, двери и другие элементы дизайна, придающие дому сходство со средневековым замком или сказочной лесной избушкой.а особое внимание обратите на то, что это должен быть столовый 9%-ный уксус, а не кислота.



4,4(60 оценок)
Новые ответы от MOGZ: Математика
logo
Вход Регистрация
Что ты хочешь узнать?
Спроси Mozg
Открыть лучший ответ