М
Молодежь
К
Компьютеры-и-электроника
Д
Дом-и-сад
С
Стиль-и-уход-за-собой
П
Праздники-и-традиции
Т
Транспорт
П
Путешествия
С
Семейная-жизнь
Ф
Философия-и-религия
Б
Без категории
М
Мир-работы
Х
Хобби-и-рукоделие
И
Искусство-и-развлечения
В
Взаимоотношения
З
Здоровье
К
Кулинария-и-гостеприимство
Ф
Финансы-и-бизнес
П
Питомцы-и-животные
О
Образование
О
Образование-и-коммуникации
artur731
artur731
25.11.2021 00:15 •  Математика

Представьте в виде трех члена, выражения:


Представьте в виде трех члена, выражения: ​

👇
Ответ:

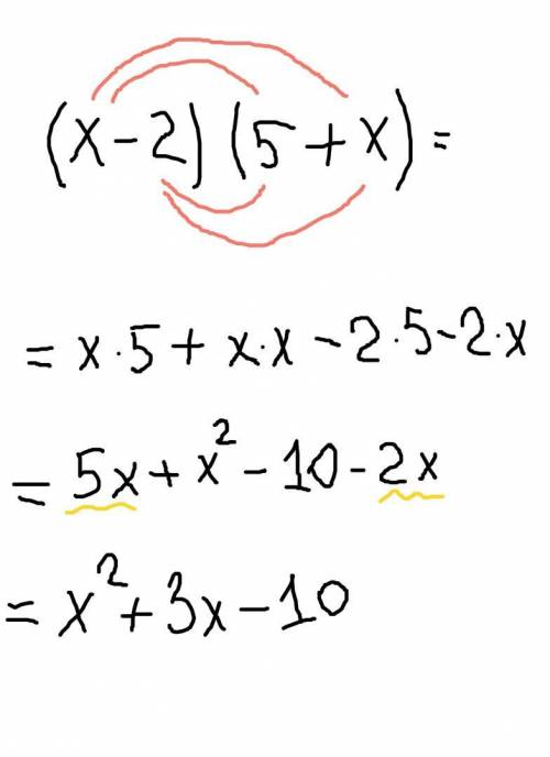
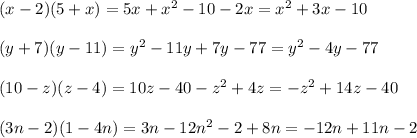
(x-2)(5+x)=5x+x^{2} -10-2x=x^{2} +3x-10\\\\(y+7)(y-11)=y^{2} -11y+7y-77=y^{2}-4y-77\\\\(10-z)(z-4)=10z-40-z^{2}+4z=-z^{2}+14z-40\\\\(3n-2)(1-4n)=3n-12n^{2}-2+8n=-12n+11n-2

Объяснение:

Каждое число из первой скобки умножаем на каждое число из второй скобки


Представьте в виде трех члена, выражения: ​
4,5(53 оценок)
Ответ:
говешка123
говешка123
25.11.2021

a) (x-2)(5+x)=5x+x^{2}-10-2x=x^{2}+3x-10

б) (y+7)(y-11)=y^{2}-11y+7y-77=y^{2}-4y-77

в) (10-z)(z-4)=10z-40-z^{2}+4z=-z^{2}+14z-40

г) (3n-2)(1-4n)=3n-12n^{2}-2+8n=-12n^{2}+11n-2

Пошаговое объяснение:

4,6(52 оценок)
Открыть все ответы
Ответ:
turysbekaida
turysbekaida
25.11.2021
1) 12/16 = 3/4(делим на 4). 18/27 = 2/3(делим на 9). (делим оба числа дроби(и числитель и знаменатель) на одно и то же число)

2) 5/8 < 6/8 32/72>27/72 (нужно привести дроби к одинаковому знаменателю, то есть домножить дроби на такие числа, чтоб знаменатели были равны)

3) 1. 16/60 + 45/60 = 61/60 = 1(целая) 1/60 (приводим к общему знаменателю, складываем числители и выделяем целую часть) 2. 5/6 - 9/14 = 35/42 - 27/42 = 8/42 = 4/21. 3. 4 4/7 + 6 1/4 = 4 16/28 + 6 7/28 = 10 21/28 = 10 3/4 (дробь приводим к общему знаменателю. складываем числители между собой и целые числа. далее сокращаем дробь или выводим целую часть.) 4. 5 7/8 - 3 5/6 = 5 21/24 - 3 20/24 = 2 1/24

4) день первый: 4 7/24 ц
день второй: 4 7/24 - 1 7/12
сколько всего? (день первый + второй)
сперва узнаем, сколько ц картофеля продали во второй день:
1) 4 7/24 - 1 7/12 = 4 7/24 - 1 14/24 = 3 31/24 - 1 14/24 = 2 17/24
2) 4 7/24 + 2 17/24 = 6 24/24 = 7 (ц) - ответ

5) 1. 10 11/24 - х = 6 7/16
х = 10 11/24 - 6 7/16 = 10 22/48 - 6 21/48 = 4 1/48

2. (5/6 + х) - 2/3 = 13/18
5/6 + х = 13/18 + 2/3
5/6 + х = 13/18 + 12/18
5/6 + х = 25/18
х = 25/18 - 5/6 = 25/18 - 15/18 = 10/18 = 5/9

6) день первый: 5/18
день второй: 7/27
день третий: 2/9
день четвёртый: оставшийся путь.
1) узнаем, сколько за 3 дня.
5/18 + 7/27 + 2/9 = 15/54 + 14/54 + 12/54 = 41/54
2) весь путь - это 1 целая. 1 целая в данном случае - это 54/54
54/54 - 41/54 = 13/54 (за четвёртый день. ответ)
4,6(30 оценок)
Ответ:
Daniil2263
Daniil2263
25.11.2021
1) 12/16 = 3/4(делим на 4). 18/27 = 2/3(делим на 9). (делим оба числа дроби(и числитель и знаменатель) на одно и то же число)

2) 5/8 < 6/8 32/72>27/72 (нужно привести дроби к одинаковому знаменателю, то есть домножить дроби на такие числа, чтоб знаменатели были равны)

3) 1. 16/60 + 45/60 = 61/60 = 1(целая) 1/60 (приводим к общему знаменателю, складываем числители и выделяем целую часть) 2. 5/6 - 9/14 = 35/42 - 27/42 = 8/42 = 4/21. 3. 4 4/7 + 6 1/4 = 4 16/28 + 6 7/28 = 10 21/28 = 10 3/4 (дробь приводим к общему знаменателю. складываем числители между собой и целые числа. далее сокращаем дробь или выводим целую часть.) 4. 5 7/8 - 3 5/6 = 5 21/24 - 3 20/24 = 2 1/24

4) день первый: 4 7/24 ц
день второй: 4 7/24 - 1 7/12
сколько всего? (день первый + второй)
сперва узнаем, сколько ц картофеля продали во второй день:
1) 4 7/24 - 1 7/12 = 4 7/24 - 1 14/24 = 3 31/24 - 1 14/24 = 2 17/24
2) 4 7/24 + 2 17/24 = 6 24/24 = 7 (ц) - ответ

5) 1. 10 11/24 - х = 6 7/16
х = 10 11/24 - 6 7/16 = 10 22/48 - 6 21/48 = 4 1/48

2. (5/6 + х) - 2/3 = 13/18
5/6 + х = 13/18 + 2/3
5/6 + х = 13/18 + 12/18
5/6 + х = 25/18
х = 25/18 - 5/6 = 25/18 - 15/18 = 10/18 = 5/9

6) день первый: 5/18
день второй: 7/27
день третий: 2/9
день четвёртый: оставшийся путь.
1) узнаем, сколько за 3 дня.
5/18 + 7/27 + 2/9 = 15/54 + 14/54 + 12/54 = 41/54
2) весь путь - это 1 целая. 1 целая в данном случае - это 54/54
54/54 - 41/54 = 13/54 (за четвёртый день. ответ)
4,7(47 оценок)
Новые ответы от MOGZ: Математика
logo
Вход Регистрация
Что ты хочешь узнать?
Спроси Mozg
Открыть лучший ответ