М
Молодежь
К
Компьютеры-и-электроника
Д
Дом-и-сад
С
Стиль-и-уход-за-собой
П
Праздники-и-традиции
Т
Транспорт
П
Путешествия
С
Семейная-жизнь
Ф
Философия-и-религия
Б
Без категории
М
Мир-работы
Х
Хобби-и-рукоделие
И
Искусство-и-развлечения
В
Взаимоотношения
З
Здоровье
К
Кулинария-и-гостеприимство
Ф
Финансы-и-бизнес
П
Питомцы-и-животные
О
Образование
О
Образование-и-коммуникации
yaroslavus
yaroslavus
15.11.2020 14:16 •  Математика

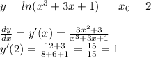
Find dy/dx at x0=2 if y=ln (x³+3x+1)​

👇
Ответ:
Miratovich
Miratovich
15.11.2020

Пошаговое объяснение:

y=ln(x^3+3x+1)\;\;\;\;\;\;x_0=2\\\\\frac{dy}{dx}=y'(x)=\frac{3x^2+3}{x^3+3x+1}\\y'(2)=\frac{12+3}{8+6+1}=\frac{15}{15}=1

4,6(9 оценок)
Открыть все ответы
Ответ:
Хєю
Хєю
15.11.2020
Уміння спілкуватися дуже потрібне людині. Завдяки спілкуванню ми обмінюємося інформацією, передаємо свої думки, враження тощо. Важливо не тільки вміти говорити, але й уміти слухати.Слухаючи співрозмовника, зосередься на темі розмови, не перебивай, не відволікайся. Виявляй щиру зацікавленість до того, хто говорить, дивися у вічі, посміхайся, будь люб’язним, тактовним, толерантним.Якщо чогось не зрозумів, хочеш щось уточнити або запитати, зроби це, вислухавши фразу або думку до кінця. Якщо ти згоден з думкою мовця, можна підтвердити це мімікою або жестами - кивком голови, усмішкою або короткими фразами: «Так», «Дійсно, так», «Цікаво», «Так, це правда». Підтримуючи розмову і зацікавившись нею, можна спитати: «Що було далі?», «Чим усе закінчилося?» тощо.Коли з тобою говорять, не ввічливо дивитися вбік, кривлятися, голосно і невчасно сміятися, промовляти недоречні слова.У різних ситуаціях люди поводяться і спілкуються по-різному. Якщо людина висловлюється чітко і зрозуміло, може пояснити і довести власну точку зору, рішуче відмовитися від небезпечної пропозиції, то це свідчить про впевнену поведінку. Така людина може зробити власний вибір, а не нав’язаний кимось, може домовитися, враховуючи інтереси всіх і не порушуючи прав інших.Пасивна поведінка виявляється в нерішучості та невпевненості. Люди з такою поведінкою не можуть захистити себе, чітко заявити про свої бажання і потреби. Вони поводяться несміливо, говорять тихо, невиразно, до них не дослухаються, часто взагалі не звертають уваги. Як правило, такі люди не можуть самостійно прийняти рішення, за них це роблять інші. Вони найчастіше зазнають чужого впливу, нерідко негативного.Є люди, які поводяться агресивно, будь-що відстоюють власну точку зору, нехтуючи інтересами інших. У таких випадках вони впевнені у своїй правоті і не дослухаються до думки інших. Агресія може виражатися в тиску, погрозах, образах, сварках. Люди з агресивною поведінкою іноді вдаються і до фізичної сили.
4,7(4 оценок)
Ответ:
ladushiklevonik1
ladushiklevonik1
15.11.2020

Представим 30 в виде произведения:


30 = 2*3*5


Произведение пяти последовательно взятых чисел будет делиться на 30, если в этом произведении найдутся числа, которые будут делиться на 2, на 3 и на 5.


На два делятся все четные числа. Четным числом является каждое второе число. Поскольку мы берем пять последовательных чисел, то четные числа точно будут. Значит произведение будет делиться на 2.


На три делится каждое третье число. Мы же берем пять последовательно стоящих чисел. Поэтому число, которое делится на 3 тоже найдется.


На пять делится каждое пятое число. Опять же, мы берем пять последовательно стоящих чисел, поэтому в произведении найдется число, которое будет делиться на пять.


В результате среди пяти последовательно стоящих чисел обязательно найдутся числа, которые будут делиться на 5, на 3 и на 2. Поэтому произведение пяти последовательно стоящих чисел будет делиться на 30.


Например, возьмем следующие пять последовательных чисел: 94, 95, 96, 97, 98.


94 - четное число и поделится на 2.


96 нацело поделится на 3.


95 поделится на 5.


Следовательно произведение 94*95*96*97*98 нацело поделится на 30.

4,4(93 оценок)
Это интересно:
Новые ответы от MOGZ: Математика
logo
Вход Регистрация
Что ты хочешь узнать?
Спроси Mozg
Открыть лучший ответ