М
Молодежь
К
Компьютеры-и-электроника
Д
Дом-и-сад
С
Стиль-и-уход-за-собой
П
Праздники-и-традиции
Т
Транспорт
П
Путешествия
С
Семейная-жизнь
Ф
Философия-и-религия
Б
Без категории
М
Мир-работы
Х
Хобби-и-рукоделие
И
Искусство-и-развлечения
В
Взаимоотношения
З
Здоровье
К
Кулинария-и-гостеприимство
Ф
Финансы-и-бизнес
П
Питомцы-и-животные
О
Образование
О
Образование-и-коммуникации
alexey2ristp00z7s
alexey2ristp00z7s
07.12.2021 19:07 •  Математика

3y''+2y'=x

Розв’язати диференціальне рівняння другого порядку із сталими коефіцієнтами​

👇
Ответ:
programprogram
programprogram
07.12.2021

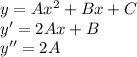
1. Решаем ОЛДУ:

3y'' + 2y' = 0 \\ y = {e}^{kx} \\ {e}^{kx} (3 {k}^{2} + 2 k) = 0 \\ k1 = 0 \\ k2 = - \frac{2}{3} \\ \\ y = C1 + C2 {e}^{ - \frac{2}{3} x}

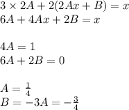
2. Подбираем у с неопределенными коэффициентми:

y = A{x}^{2} + Bx + C \\ y' = 2Ax + B \\ y'' = 2A

подставляем в НЛДУ:

3 \times 2A+ 2(2Ax + B) = x \\ 6A + 4Ax + 2B = x \\ \\ 4A = 1 \\ 6A + 2B = 0 \\ \\ A= \frac{1}{4} \\ B = - 3A = - \frac{3}{4}

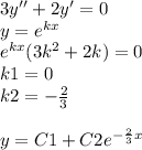
y = \frac{ {x}^{2} }{4} - \frac{3x}{4} \\

y = C1 + C2 {e}^{ - \frac{2}{3} x} + \frac{ {x}^{2} }{4} - \frac{3x}{4} \\

общее решение

4,7(14 оценок)
Открыть все ответы
Ответ:
Фурчик
Фурчик
07.12.2021

Верные равенства:

1) 8+6-1=8+(6-1)

         13=8+6-1

         13=13

2) 3+7+7=3+(7+7)

           17=3+7+7

           17=17

3) 4+8=8+4

      12=12

4) 7+(9+1)=(7+9)+1

       7+9+1=7+9+1

            17=17

5) 3+7+7=(7+9)+1

          17=7+9+1

          17=17

6) 7+(9+1)=3+7+7

       7+9+1=17

            17=17

Неравенства:

4+8<7+(9+1)

3+(7+7)>8+6-1

(7+9)+1>8+4

8+4<8+(6-1)

8+(6-1)<3+7+7

8+6-1>4+8

3+(7+7)>8+(6-1)

8+6-1<3+7+7

8+4<8+6-1

8+6-1<7+(9+1)

(7+9)+1>8+(6-1)

8+4<3+7+7

(7+9)+1>8+6-1

8+(6-1)>4+8

3+7+7>4+8

8+(6-1)<7+(9+1)

4+8<3+7+7

3+7+7>8+4

4,4(54 оценок)
Ответ:
Kate200005
Kate200005
07.12.2021

1. Находим, сколько процентов жиров содержится в фасоли:

 100-23-55=22(%)

 2. Процентное содержание говорит о том, сколько граммов вещества приходится на 100 г. продукта.

 или сколько ц вещества в 100 ц продукта

 Поэтому находим, сколько ц белка находится в 1 ц фасоли:

 если в 100ц фасоли находится 23ц белка,

 то     в 1 ц фасоли  сколько ц белка?

 23/100=0,23(ц)

 3. Находим, ск-ко ц крахмала находится в 1 ц фасоли

 55/100=0,55 (ц)

 4. Находим, ск-ко ц жиров нах-ся в 1 ц фасоли

 1-0,23-0,55=0,22 (ц)

 или так: 22/100=0,22 (ц)

 5. Находим, сколько ц белка в 2,4 ц фасоли

 0,23*2,4=0,552 (ц) (= 55,2 кг)

 6. Находим, ск-ко ц крахмала в 2,4 ц фасоли:

 0,55*2,4=1,32 (ц) (=132 кг)

 7. Нах-м, ск-ко ц жиров в 2,4 ц фасоли

 2,4-0,552-1,32=0,528 (ц) (=52,8кг)

 или так:

 0,22*2,4=0,528 (ц)

 ответ: 0,552 ц белка, 1,32 ц крахмала, 0,528 ц жиров

4,5(63 оценок)
Это интересно:
Новые ответы от MOGZ: Математика
logo
Вход Регистрация
Что ты хочешь узнать?
Спроси Mozg
Открыть лучший ответ