
Пошаговое объяснение:
Умножаем числитель и знаменатель на такое число, чтобы знаменатель стал 100 или 10. Например:
. Причём при умножении числителя и знаменателя на одно и тоже число разность не меняется.

такой вид дроби называется обыкновенная дробь.
0.7 такой вид дроби называется десятичная дробь.
то что наверху числитель, внизу знаменатель.
В одном зоопарке неподалеку от моего дома есть такие звери как-бегемот,крокодил,обезьяны,попугаи,утконос и красивейший петух привезенный с какого-то материка.Он был таким необычным что люди смотрели на него часами,конечно остальные звери были не довольны тем что все внимание достается петуху и решили отомстить ему. И вот однажды ночью когда все посетители служащие зоопарка ушли все звери кроме петуха собрались на собрание.И тут крокодил говорит:
-А давайте мы его съедим
-Нет,сказали все остальные звери
Тогда обеьяны сказали:
-Давайте мы его побреем,тогда он станет лысим и не красивым
-А давайте,согласились остальные звери...
И вот уже время позднее все потихоньку подобрались к петуху и решили схватить его и побрить.Но петух знал что все звери на него опалчились и подготовился прочитал книгу "Кунг Фу для чайников" и выучил оттуда пару приемчиков.и вот когда все звери подошли к нему он в ту же секунду разбросал их всех по своим клеткам. После этого они бояялись подойти к нему.Так и остались никем, а петух приобрел больше уверенности в себе.
Составить рассказ со словами бегемот, крокодил, петух, утконос.
Недавно мы с родителями побывали в большом зоопарке. Все животные здесь очень ухоженные. Они по разным причинам не могут жить в дикой природе. Кого-то из них из рук браконьеров, кто-то был ранен. Здесь они получают полноценный уход.
Больше всех мне понравились бегемот и крокодил. Это необычные животные для наших широт, поэтому у них больше всего зрителей. Еще мы видели очень боевого петуха и смешного утконоса. Эта поездка мне очень понравилась.
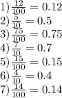
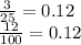
ответ: 12/100 или 0,12
5/10 или 0,5
75/100 или 0,75
7/10 или 0.7
15/100 или 0,15
4/10 или 0.4
14/100 или 0,14
Пошаговое объяснение: