М
Молодежь
К
Компьютеры-и-электроника
Д
Дом-и-сад
С
Стиль-и-уход-за-собой
П
Праздники-и-традиции
Т
Транспорт
П
Путешествия
С
Семейная-жизнь
Ф
Философия-и-религия
Б
Без категории
М
Мир-работы
Х
Хобби-и-рукоделие
И
Искусство-и-развлечения
В
Взаимоотношения
З
Здоровье
К
Кулинария-и-гостеприимство
Ф
Финансы-и-бизнес
П
Питомцы-и-животные
О
Образование
О
Образование-и-коммуникации
nastua89723
nastua89723
31.10.2022 13:20 •  Математика

Определить принадлежит ли точка А (1,4;1,5) и B (-8/9;-4 1/3) графику функции y=1,5x-3

👇
Ответ:
mares2007
mares2007
31.10.2022

y=1,5x-3

А (1,4(х) ;1,5(у) ) и B (-8/9(х) ;-4 1/3(у))

1,5≠1,5*1,4-3

1,5≠2,1-3

1,5≠ - 0,9

А не принадлежит графику функции y=1,5x-3

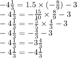
- 4 \frac{1}{3} = 1.5 \times ( - \frac{8}{9} ) - 3 \\ - 4 \frac{1}{3} = - \frac{15}{10} \times \frac{8}{9} - 3 \\ - 4 \frac{1}{3} = - \frac{5}{5} \times \frac{4}{3} - 3 \\ - 4 \frac{1}{3} = - \frac{4}{3} - 3 \\ - 4 \frac{1}{3} = - 3 \frac{4}{3} \\ - 4\frac{1}{3} = - 4 \frac{1}{3}

B принадлежит графику функции y=1,5x-3

4,4(96 оценок)
Открыть все ответы
Ответ:
odyvanchik22
odyvanchik22
31.10.2022

Пошаговое объяснение:

1. Когда могут возникнуть дробные числа?

Дробные числа возникают когда предмет ( яблоко , торт , лист бумаги) или единицу измерения ( метр , час , килограмм ) делят на несколько равных частей

2.Каким образом записывают обыкновенные дроби?

Обыкновенные дроби записывают с двух натуральных чисел и черты дроби

3.Как называют число, записанное над чертой дроби?Под чертой дроби?

Число записанное над чертой дроби называется числитель , а под чертой дроби – знаменатель

4.Что показывает знаменатель дроби?Числитель дроби?

Знаменатель показывает на сколько частей что-то разделили, а числитель показывает , сколько таких частей взяли.

4,6(26 оценок)
Ответ:
zaylera34
zaylera34
31.10.2022
Периметр – это сумма длин всех сторон. Периметр помещения можно узнать, сложив длину всех стен. 
Пример:
Вычислим периметр комнаты размером 5х6 м. Сложим длину всех стен в комнате – и получим 22 м.
Сколько всего полотнищ нужно для оклеивания помещения?
Для этого нужно разделить периметр на ширину рулонов. Это позволит узнать, какое количество обойных полос нужно на помещение. 
Пример:
Периметр нашей комнаты – 22 м, а ширина обоев составляет 1,06 м. Разделим 22 на 1,06 – и получим 20,75. Округляем результат в большую сторону – и получаем 21 полотнище.
На сколько полотнищ хватит одного рулона?
Чтобы посчитать число полных полотнищ в одном рулоне разделим длину рулона на высоту потолка.
Пример:
Длина обойного рулона обычно составляет 10 м. Высота нашей комнаты – 2,75 м. Мастера рекомендуют прибавлять к высоте потолка дополнительный запас в 10 см. для удобства поклейки. Таким образом, значение высоты нашего потолка составит 2,85 м. Если разделить длину рулона (10 м) на это число (2,85 м), то мы получим 3 полных полосы из одного рулона обоев.
Сколько рулонов обоев понадобится? 
Чтобы узнать, сколько рулонов потребуется для одного помещения надо разделить число всех полотнищ в этом помещении на полное число полотнищ, которые получаются из одного рулона.
Пример:
В нашем случае расчет будет таким: 21 (число полотнищ) делим на 3 (полотнища из одного рулона) и получаем 7 рулонов обоев шириной – 1,06 м, длиной – 10 м.

Если вы клеите обои с крупным рисунком, то вам потребуется следить за аккуратной подгонкой полос для ровного совпадения узора. Это актуально для обоев с большими геометрическими рисунками, изображениями растений и других крупных форм. Здесь нужно учитывать раппорт - расстояние, через которое повторяется одинаковый рисунок. Вам необходимо сосчитать, сколько раппортов приходится на одну длину полотнища. Чем крупнее раппорт, тем большее количество рулонов вам потребуется для оклеивания просторных помещений. Размер раппорта указывается на этикетке обоев. На этикетке вы найдете один из указанных значков:

4,4(84 оценок)
Это интересно:
Новые ответы от MOGZ: Математика
logo
Вход Регистрация
Что ты хочешь узнать?
Спроси Mozg
Открыть лучший ответ