М
Молодежь
К
Компьютеры-и-электроника
Д
Дом-и-сад
С
Стиль-и-уход-за-собой
П
Праздники-и-традиции
Т
Транспорт
П
Путешествия
С
Семейная-жизнь
Ф
Философия-и-религия
Б
Без категории
М
Мир-работы
Х
Хобби-и-рукоделие
И
Искусство-и-развлечения
В
Взаимоотношения
З
Здоровье
К
Кулинария-и-гостеприимство
Ф
Финансы-и-бизнес
П
Питомцы-и-животные
О
Образование
О
Образование-и-коммуникации
DARKxSHADOWxYT
DARKxSHADOWxYT
03.07.2020 23:56 •  Математика

Для данной функции у и аргумента х0 вычислить у''' (х0)


Для данной функции у и аргумента х0 вычислить у''' (х0)

👇
Ответ:
anjutaboyycova
anjutaboyycova
03.07.2020

Пошаговое объяснение:

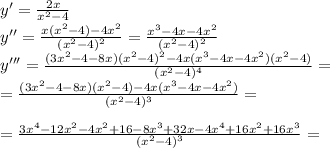
y'=\frac{2x}{x^2 -4} \\y''=\frac{x(x^2-4)-4x^2}{(x^2-4)^2}= \frac{x^3-4x-4x^2}{(x^2-4)^2}\\y'''=\frac{(3x^2-4-8x)(x^2-4)^2-4x(x^3-4x-4x^2)(x^2-4)}{(x^2-4)^4} =\\=\frac{(3x^2-4-8x)(x^2-4)-4x(x^3-4x-4x^2)}{(x^2-4)^3} =\\\\=\frac{3x^4-12x^2-4x^2+16-8x^3+32x-4x^4+16x^2+16x^3}{(x^2-4)^3}=\\\=\frac{-x^4+16+8x^3+32x}{(x^2-4)^3}\y(x_0)=\frac{-(3)^4+16+8*(3)^3+32*3}{(3^2-4)^3}=\frac{-81+16+8*27+96}{5^3} =\frac{247}{125} =1\frac{112}{125}

4,4(100 оценок)
Открыть все ответы
Ответ:
iamzayka
iamzayka
03.07.2020
Решим задачу на нахождение целого от части (дроби)
Дано:
S=75 км=1/6 маршрута
Найти: S(весь путь)=? км; S(оставшееся расстояние)=? км
Решение
1) Вертолёт пролетел 75 км пути, что составляет 1/6 от всего пути равного 6/6=1
Чтобы найти длину маршрута (обозначим х), составим пропорцию:
75 км - 1/6 пути
х км - 1 путь
х=75*1:1/6=75*6=450 (км)
2) Длина маршрута составляет 450 км, а вертолет пролетел 75 км, значит ему осталось преодолеть маршрут:
450-75=375 (км)
ответ: Длина маршрута равна 450 км; от места посадки ему осталось пролететь 375 км.
4,6(46 оценок)
Ответ:
babedinova
babedinova
03.07.2020
Моя любимая подруга
(сочинение-описание)
Мою самую близкую подругу зовут Маша. Мы начали дружить еще в первом классе, всегда с тех пор сидим за одной партой, все свободное время тоже проводим вместе. Мне так хорошо и легко с Машей! Она очень умная, добрая, справедливая. Красавицей мою подругу, наверное, назвать все-таки нельзя, но у нее очень привлекательная внешность.
Лицо у Маши круглое, румяное, нос немного вздернут. Светлые русые волосы с золотистым оттенком непокорно вьются над высоким чистым лбом. Маша часто поправляет их рукой.
Самое главное для меня в Машиной лице - серо-зеленые большие глаза, окаймленные пушистыми черными ресницами. Над ними тонкими стрелочками расходятся брови. Когда Маша улыбается, глаза ее искрятся озорными огоньками (я их называю бесиками) , а на щеках появляются ямочки.
Маша очень много читает, увлекается поэзией, музыкой, хорошо играет на гитаре. Меня привлекает в ней внимательное отношение к людям, добрый и веселый нрав. Поэтому и сама Маша кажется мне очень симпатичной.
4,5(36 оценок)
Это интересно:
Новые ответы от MOGZ: Математика
logo
Вход Регистрация
Что ты хочешь узнать?
Спроси Mozg
Открыть лучший ответ