М
Молодежь
К
Компьютеры-и-электроника
Д
Дом-и-сад
С
Стиль-и-уход-за-собой
П
Праздники-и-традиции
Т
Транспорт
П
Путешествия
С
Семейная-жизнь
Ф
Философия-и-религия
Б
Без категории
М
Мир-работы
Х
Хобби-и-рукоделие
И
Искусство-и-развлечения
В
Взаимоотношения
З
Здоровье
К
Кулинария-и-гостеприимство
Ф
Финансы-и-бизнес
П
Питомцы-и-животные
О
Образование
О
Образование-и-коммуникации
mari523
mari523
20.09.2022 21:29 •  Математика

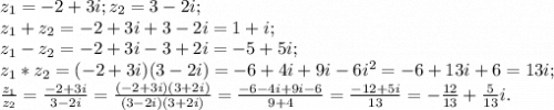
Даны числа z1=-2+3i, z2=3-2i. Найдите числа: 1.Z1+Z2 2.Z1-Z2 3.Z1*Z2 4.Z1/Z2

👇
Ответ:
PROFESSIONALL
PROFESSIONALL
20.09.2022

ответы и решения на фотографии


Даны числа z1=-2+3i, z2=3-2i. Найдите числа: 1.Z1+Z2 2.Z1-Z2 3.Z1*Z2 4.Z1/Z2
4,8(84 оценок)
Ответ:
limpompo2112
limpompo2112
20.09.2022

Пошаговое объяснение:

z_1=-2+3i; z_2=3-2i;\\z_1+z_2=-2+3i+3-2i=1+i;\\z_1-z_2=-2+3i-3+2i=-5+5i;\\z_1*z_2=(-2+3i)(3-2i)=-6+4i+9i-6i^2=-6+13i+6=13i;\\\frac{z_1}{z_2}=\frac{-2+3i}{3-2i}=\frac{(-2+3i)(3+2i)}{(3-2i)(3+2i)}=\frac{-6-4i+9i-6}{9+4}=\frac{-12+5i}{13} =-\frac{12}{13}+\frac{5}{13}i.

4,4(22 оценок)
Открыть все ответы
Ответ:
СабинаЛис
СабинаЛис
20.09.2022
Если идти на север, никуда не отклоняясь, вы обязательно попадете на Северный полюс. Там на полгода солнце скрывается за горизонтом, а затем так же долго не сходит с неба. Полярная ночь и полярный день в течение многих суток — наиболее приметный признак северной околополюсной области Земли. Издавна ее называют Арктикой — от греческого слова arkticos — северный, которым древние греки обозначали расположенное в северной стороне неба созвездие Большой Медведицы.Загадочные земли, увенчанные ледниками, ослепительно сияющие в лучах незакатного солнца, моря, покрытые льдами, и обитающие в них удивительные животные — все это с давних пор привлекало отважных путешественников. Преодолевая неимоверные трудности, они проникали все дальше и дальше на север, открывали холодные арктические острова и архипелаги и наносили их на карту. Это были представители разных народов мира: американцы Д. Франклин и Р. Пири, голландец В. Баренц, норвежцы Ф. Нансен и Р. Амундсен, итальянец У. Нобиле и многие другие, чьи имена навечно остались в названиях островов, гор, ледников, морей. Среди них и наши соотечественники: Федор Литке, Семен Челюскин, братья Лаптевы, Георгий Седов, Владимир Русанов... Особое место в истории занимает период советских исследований Арктики в 30— 40-х гг. нашего столетия. Тогда были проведены героические экспедиции на ледокольных судах "Г. Седов", "Красин", "Сибиряков", "Литке". Их возглавляли известные полярники О. Ю. Шмидт, Р. Л. Самой-лович, В. Ю. Визе, капитан В. И. Воронин. В эти годы впервые в одну навигацию была пройдена трасса Северного морского пути, совершены героические перелеты через Северный полюс.На необитаемых островах построены научные полярные станции, под руководством И. Д. Папанина проведена первая дрейфующая экспедиция "Северный полюс", исследованы неведомые острова архипелага Северная Земля. В послевоенные годы исследования Арктики продолжались. С 1954 г. ежегодно сменяются зимовщики дрейфующих научных станций. Вот уже более 40 лет не прерывается их работа. Погода Арктики находится под постоянным наблюдением человека, а это очень важно, потому что там, в высоких широтах северного полушария, рождаются атмосферные процессы, от которых зависит погода на всей планете. Климат в Арктике исключительно суровый: даже летом температура воздуха редко поднимается выше 0 С. Большую часть года лежит снежный покров, постоянны сильные ветры. 'Наблюдения полярных станций, равномерно распределенных по берегам Северного Ледовитого океана и его островам, обеспечивают бесперебойную работу Северного морского пути. По нему в наши дни и летом и зимой, в полярный день и в непроглядную многомесячную ночь идут грузовые корабли. Их ведут мощные атомоходы "Арктика", "Сибирь", и другие. Они доставляют всевозможные грузы в Якутию, на Чукотку, на север Западной Сибири, на островные полярные станции и на дрейфующие станции. Исследователи хорошо изучили Арктику — область земного шара, включающую окраины материков Евразия и Северная Америка и почти весь Северный Ледовитый океан с множеством островов (кроме прибрежных островов Норвегии). Южная граница Арктики совпадает с южной границей зоны тундры.
4,6(79 оценок)
Ответ:
Ну примерно так: техника в наше время стала очень простой и доступной. Существуют компьютеры, телевизоры, мекроволновки, радиоприемники и т д. Техника сильно облегчает жизнь человеку. Что провести время которого у людей и так мало они садятся в кресла и смотрят телевизор или вместо того что бы приготовить еду своими руками люди разагривпют еду в мекроволновке. Но есть и хорошие качества техники например на заводах она сделать бумагу и если ранше на изготовление одного лесточка бумаги у ходила не один день то сейчас это происходит очень быстПоетому можно сделать вывод у техники есть хорошие и полохие стороны
4,6(67 оценок)
Новые ответы от MOGZ: Математика
logo
Вход Регистрация
Что ты хочешь узнать?
Спроси Mozg
Открыть лучший ответ