М
Молодежь
К
Компьютеры-и-электроника
Д
Дом-и-сад
С
Стиль-и-уход-за-собой
П
Праздники-и-традиции
Т
Транспорт
П
Путешествия
С
Семейная-жизнь
Ф
Философия-и-религия
Б
Без категории
М
Мир-работы
Х
Хобби-и-рукоделие
И
Искусство-и-развлечения
В
Взаимоотношения
З
Здоровье
К
Кулинария-и-гостеприимство
Ф
Финансы-и-бизнес
П
Питомцы-и-животные
О
Образование
О
Образование-и-коммуникации
Br0cHk1
Br0cHk1
24.10.2022 04:59 •  Математика

Найдите значение выражения 2xy-x2y , если x=18,1-10,7 и y=35-23,8.

👇
Ответ:
katya6913
katya6913
24.10.2022

0

Пошаговое объяснение:

2×(18,1-10,7) ×(35-23,8)-(18,1-10,7)×2(35-23,8)=2×(7,4-11,2)-(7,4)×2×(11,2)=165,76-165,76=0

4,4(63 оценок)
Ответ:

Пошаговое объяснение:

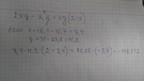
см фото


Найдите значение выражения 2xy-x2y , если x=18,1-10,7 и y=35-23,8.
4,4(79 оценок)
Открыть все ответы
Ответ:
kkostova
kkostova
24.10.2022
О, снова этот вопрос, я как раз дорешал  и его удалили.Выкладываю всё тогда, зря тратил время что ли?:)
1)Делим путь на автобусе на путь пешком
12,6/5,6=2,25(раз)
Весь путь=5,6+12,6=18,2
18,2-100%
12,6-х%
х=12,6х100/18,2=69,2%
2)Пропорция тут
Произведение крайних членов(числитель первой дроби, знаменатель второй)равно произведению средних членов
2,4х4,5=6х
6х=10,8
х=1,8
3)Так же пропорцией
9-300
6-х
х=6х300/9=200
4)Находим общую грузоподъемность 14 машин
14х4,5=63
63/7=9 машин
5)Не уверен, что тут правильно, но всё же
Раскладываем 115 на множители
115=23х5
Значит, 115 делится на числа, кратные пяти и кратные 23
Число чисел кратных 23
115/23=5
Число чисел, кратных 5
115/5=23
Всего чисел
23+5=28
115-28=87
4,4(31 оценок)
Ответ:
айрат36
айрат36
24.10.2022
Кчс локального характера относятся чс, в результате которых территория, на которой сложилась чрезвычайная ситуация и нарушены условия жизнедеятельности людей (далее — зона чрезвычайной ситуации), не выходит за пределы территории объекта, при этом количество людей, погибших или получивших ущерб здоровью (далее — количество пострадавших), составляет не более 10 человек либо размер ущерба окружающей природной среде и материальных потерь (далее — размер материального ущерба) составляет не более 100 тыс. рублей. чс муниципального характера — те чс, в результате которых зона чс не выходит за пределы территории одного поселения или внутригородской территории города федерального значения, при этом количество пострадавших составляет не более 50 человек либо размер материального ущерба составляет не более 5 млн рублей, а также данная чс не может быть отнесена к чс локального характера. к чс межмуниципального характера относятся чс, в результате ко торых зона чс затрагивает территорию двух и более поселений, внутригородских территорий города федерального значения или межселенную территорию, при этом количество пострадавших составляет более 50 человек либо размер материального ущерба составляет не более 5 млн рулей. чс регионального характера — те чс, в результате которых зона чс не выходит за пределы одного субъекта рф, при этом количество пострадавших составляет свыше 50 человек, но не более 500 человек либо размер материального ущерба составляет свыше 5 млн рублей, но не более 500 млн рублей. к чс федерального характера относятся чс, в результате которых количес тво пострадавших составляет свыше 500 человек либо размер материального ущерба составляет свыше 500 млн рублей.
4,5(46 оценок)
Это интересно:
Новые ответы от MOGZ: Математика
logo
Вход Регистрация
Что ты хочешь узнать?
Спроси Mozg
Открыть лучший ответ