М
Молодежь
К
Компьютеры-и-электроника
Д
Дом-и-сад
С
Стиль-и-уход-за-собой
П
Праздники-и-традиции
Т
Транспорт
П
Путешествия
С
Семейная-жизнь
Ф
Философия-и-религия
Б
Без категории
М
Мир-работы
Х
Хобби-и-рукоделие
И
Искусство-и-развлечения
В
Взаимоотношения
З
Здоровье
К
Кулинария-и-гостеприимство
Ф
Финансы-и-бизнес
П
Питомцы-и-животные
О
Образование
О
Образование-и-коммуникации
Sultanasem2007
Sultanasem2007
17.04.2021 05:38 •  Математика

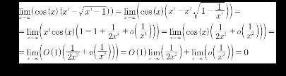
Вычислить пределы функций.


Вычислить пределы функций.

👇
Ответ:
sonya0013
sonya0013
17.04.2021

вроде так, но не точно. срашива у сестры она в 11


Вычислить пределы функций.
4,6(35 оценок)
Ответ:
lananana2006
lananana2006
17.04.2021

Предкризисное состояние проявилось это

4,8(53 оценок)
Открыть все ответы
Ответ:
Pro100Brotanich
Pro100Brotanich
17.04.2021
                            Моя любимая собака.
С самого детства я любила собак, и родители подарили мне овчарку. Мы назвали ее Джесси.  Я заинтересовалась происхождением Джесси. В основном, когда мы говорим об овчарках, мы представляем сильную, умную и красивую собаку. А что я еще знаю об этой породе собак? Оказалось, что почти ничего. И вот, изучая материал про овчарок, я выяснила, что раньше - это была служебная собака. Она караулила овец, поэтому произошло такое название "овчарка". На самом деле существует около 40 видов овчарок. Поглубже изучив породы овчарок, я выяснила, что мне подарили среднеазиатскую овчарку. Ее порода поистине уникальна. Джесси была белого цвета, при этом у нее были рыжие пятна. Глаза у нее были очень выразительные. У нее была очень мощная шея и лапы. Уши мы обрезали еще в раннем детстве, поэтому сейчас они у нее висячие. Оказалось, что Джесси, точнее ее порода, очень древнего происхождения. Изучив, всю историю предков Джесси, я поняла как она изменилась со временем. Эта была уже не пастушечья собака, а домашняя, моя собака. Она очень ласковая и добрая собака. Когда мы выходим с ней гулять, она приветлива со всеми, любит поиграть. Мы с Джесси вместе уже 10 лет. С каждым днем я понимаю, что люблю ее всем сердцем все больше и больше.
4,6(65 оценок)
Ответ:
xrot
xrot
17.04.2021
На дне оврага безмолвие охватило меня. Тогда в лунном безмолвии послышалось далёкое, но явственное булькание воды. Я пошёл на звук. От главного большого оврага отходил в сторону небольшой овражек-тупичок. Он был не более ста шагов в длину и кончался крутой поперечной горкой. У входа в него росла высокая ветвистая ива. Никаких деревьев или кустов вокруг этой ивы не было видно. По овражку-тупичку, гремя, журча, переливаясь, бежал ручеёк. Он пробил себе узкое углубленное руслице, над которым разрослись травы так, что самого ручейка не было видно. У крутой поперечной горки, то есть у задней стенки овражка, травы буйствовали невероятно. Оттуда плыл, наполняя овражек до краёв, резкий, душноватый аромат дягиля. Его белые пышные соцветия зеленовато светились.Выливаясь из сруба, вода обретала голос и видимость, потому что начинала переливаться, течь, быть ручьём. Текущий по овражку, переливающийся ручей был зелёный, но я уже видел, представлял, как ярко сверкает и блестит он при утреннем солнце.
4,8(43 оценок)
Новые ответы от MOGZ: Математика
logo
Вход Регистрация
Что ты хочешь узнать?
Спроси Mozg
Открыть лучший ответ