М
Молодежь
К
Компьютеры-и-электроника
Д
Дом-и-сад
С
Стиль-и-уход-за-собой
П
Праздники-и-традиции
Т
Транспорт
П
Путешествия
С
Семейная-жизнь
Ф
Философия-и-религия
Б
Без категории
М
Мир-работы
Х
Хобби-и-рукоделие
И
Искусство-и-развлечения
В
Взаимоотношения
З
Здоровье
К
Кулинария-и-гостеприимство
Ф
Финансы-и-бизнес
П
Питомцы-и-животные
О
Образование
О
Образование-и-коммуникации
Danyabaidak
Danyabaidak
21.11.2020 08:41 •  Математика

На изготовление 63 деталей первый рабочий затрачивает на 2 часа меньше,чем второй рабочий на изготовление 72 таких же деталей . известно, что первый рабочий за час делает на 1 деталь больше,чем второй. сколько деталей в час делает первый рабочий?

👇
Ответ:
artemtik2005
artemtik2005
21.11.2020

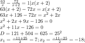
Пусть на изготовление 63 деталей первый затрачивает х часов, тогда второй на изготовление 72 таких же деталей затрачивает (х + 2) часа. Тогда по условию задачи составим уравнение:\frac{63}{x}-\frac{72}{x+2}=1|x(x+2)\\63(x+2)-72x=x(x+2)\\63x+126-72x=x^{2}+2x\\x^{2}+2x+9x-126=0\\x^{2}+11x-126=0\\D= 121+504=625=25^{2}\\x_{1}=\frac{-11+25}{2}=7;x_{2}=\frac{-11-25}{2}=-18; 

Так как х - это время, то второй ответ не подходит. 63 : 7 = 9 (д/ч) - делает первый рабочий.

ответ: 9 деталей в час делает первый рабочий

4,4(81 оценок)
Открыть все ответы
Ответ:
QwertyMia
QwertyMia
21.11.2020
Если два тела одновременно движутся в противоположных направлениях, то расстояние между ними постепенно увеличивается.Скорость удаления – это расстояние, которое проходят тела за 1 ч при движении в противоположных направлениях. Пример 1. Два лыжника одновременно вышли из пункта А в противоположных направлениях. Первый лыжник шёл со скоростью 12 км/ч, а второй – 14 км/ч. На каком расстоянии друг от друга они будут через 3 ч?Схема к задаче: Решение км) – расстояние, которое первый лыжник за 3 ч2)14 • 3 = 42 (км) – расстояние, которое второй лыжник за 3 ч3)36 + 42 = 78 (км км/ч) – скорость удаления2)26 • 3 = 78 (км)ответ: 78 км. 
4,6(83 оценок)
Ответ:
marinandnatasha1
marinandnatasha1
21.11.2020
Тебе нужно дробь делить на целое число.
Для этого целое число нужно представить в виде дроби.:
то есть 5/8 : 4 нужно 4 представить как 4/1. И 5/8 будем делить на 4/1.
получается 5/8 : 4 = 5/8 : 4/1.
Теперь вопрос как дробь делить на дробь?
Нужно одновременно выполнить 2 дела:
первое дело - деление заменить умножением
второе дело  - перевернуть вторую дробь.
То есть:
5/8 : 4 = 5/8 : 4/1 = 5/8 * 1/4 = 5/32

Далее, нужно понять как целое число делить на дробь.
Начало - такое же - мы должны целое число представить в виде дроби: 
4=4/1
И выполнить деление
4 : 5/8 = 4/1 : 5/8
Как делить дробь на дробь? - смотри выше!
Нужно сделать одновременно два дела:
первое дело  - заменить деление умножением
второе дело - перевернуть вторую(!) дробь
4 : 5/8 = 4/1 : 5/8 = 4/1 * 8/5 = 32/5 = 6 целых 2/5

Вот тебе и разница - в первом случае имеем дробь -5/32 - она меньше целого. А во втором случае число, бОльшее единицы - 6 целых 2/5
4,5(94 оценок)
Это интересно:
Новые ответы от MOGZ: Математика
logo
Вход Регистрация
Что ты хочешь узнать?
Спроси Mozg
Открыть лучший ответ