М
Молодежь
К
Компьютеры-и-электроника
Д
Дом-и-сад
С
Стиль-и-уход-за-собой
П
Праздники-и-традиции
Т
Транспорт
П
Путешествия
С
Семейная-жизнь
Ф
Философия-и-религия
Б
Без категории
М
Мир-работы
Х
Хобби-и-рукоделие
И
Искусство-и-развлечения
В
Взаимоотношения
З
Здоровье
К
Кулинария-и-гостеприимство
Ф
Финансы-и-бизнес
П
Питомцы-и-животные
О
Образование
О
Образование-и-коммуникации
liza0234
liza0234
01.11.2021 20:16 •  Математика

Обе части верного числового равенства 22-12=24-14 умножить на одно и тоже число 1)10 2)-2


Обе части верного числового равенства 22-12=24-14 умножить на одно и тоже число 1)10 2)-2

👇
Ответ:
vladimir1232
vladimir1232
01.11.2021

решено,очень легкое.........


Обе части верного числового равенства 22-12=24-14 умножить на одно и тоже число 1)10 2)-2
4,7(50 оценок)
Ответ:
gubanvitalya
gubanvitalya
01.11.2021
Добрый день, ученик!

Чтобы решить эту задачу, мы используем свойства равенства и свойства умножения чисел. Давайте разберем каждый пункт по отдельности.

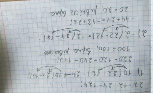
1) Мы должны умножить обе части равенства на число 10.

Первая часть равенства: (22-12) * 10.
Для начала выполняем операцию в скобках: 22-12 = 10.
Теперь мы имеем: 10 * 10 = 100.
Таким образом, первая часть равенства умноженная на 10 равна 100.

Вторая часть равенства: (24-14) * 10.
Выполняем операцию в скобках: 24-14 = 10.
Имеем: 10 * 10 = 100.
Таким образом, вторая часть равенства умноженная на 10 также равна 100.

Значит, в результате умножения обе части равенства на число 10, получается следующее равенство: 100 = 100.

2) Теперь мы должны умножить обе части равенства на число -2.

Первая часть равенства: (22-12) * (-2).
Выполняем операцию в скобках: 22-12 = 10.
Теперь умножаем полученное значение на -2: 10 * (-2) = -20.
Таким образом, первая часть равенства умноженная на -2 равна -20.

Вторая часть равенства: (24-14) * (-2).
Операция в скобках: 24-14 = 10.
Умножаем полученное значение на -2: 10 * (-2) = -20.
Таким образом, вторая часть равенства умноженная на -2 также равна -20.

Значит, в результате умножения обе части равенства на число -2, получается следующее равенство: -20 = -20.

Итак, мы доказали, что независимо от выбранного числа (в данном случае 10 или -2), обе части равенства дают один и тот же результат. То есть, у нас получаются равные числа с обеих сторон равенства.

Надеюсь, я смог ясно и подробно объяснить решение данной задачи. Если у тебя есть еще вопросы или что-то непонятно, пожалуйста, задавай их, и я с радостью помогу!
4,7(38 оценок)
Проверить ответ в нейросети
Это интересно:
Новые ответы от MOGZ: Математика
logo
Вход Регистрация
Что ты хочешь узнать?
Спроси Mozg
Открыть лучший ответ