Пошаговое объяснение:
еще два в другом комментарии




x-4*корень (х+4)-1 меньше 0 !ОДЗ: х больше или равно -4
(х-1) меньше 4*корень из (х+4)
рассматриваем 2 варианта:
1.
(х-1) меньше или равно 0 , т.е. х меньше или равно 1
в этом случае неравенство выполняется при любом х (т.к. арифм. квадратный корень всегда больше или равен 0)
значит х меньше или равно 1, но больше или равно -4 (это из ОДЗ)
[-4; 1]
2.
х-1 больше 0, т.е. х больше 1,
тогда можем возвести в квадрат обе части неравенства
(х-1)^2 меньше 16*(х+4)
x^2-2x+1-16x-64 меньше 0
х^2-18x-63 меньше 0
D=324+252=576
x=(18+-24)/2
x=21; -3
(х-21)(х+3) меньше 0
решением этого неравенства является промежуток ; ]-3; 21[, но в рассматриваемом нами случае (х больше 1) решением будет ]1; 21[
Таким образом объединяем решения первой и второй части, получаем:
[-4;21[
1. 489
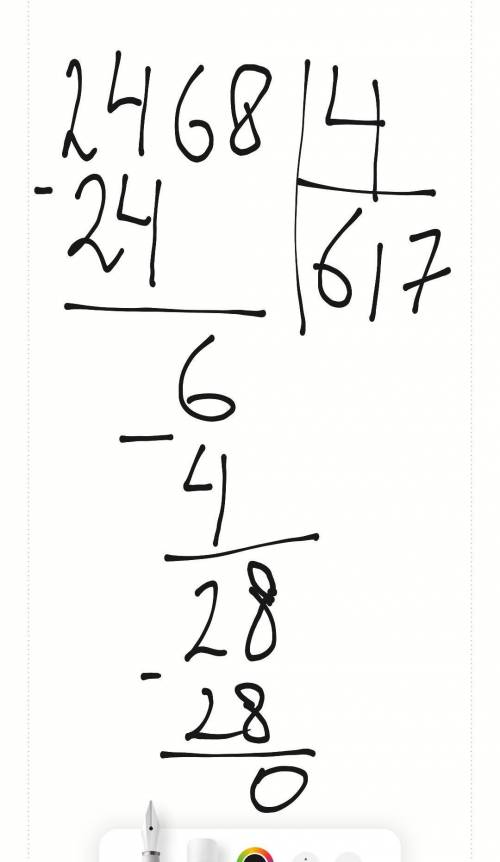
2. 617
3. 1289
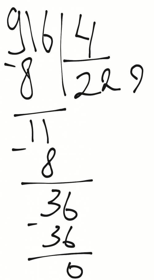
4. 229
5. 143