М
Молодежь
К
Компьютеры-и-электроника
Д
Дом-и-сад
С
Стиль-и-уход-за-собой
П
Праздники-и-традиции
Т
Транспорт
П
Путешествия
С
Семейная-жизнь
Ф
Философия-и-религия
Б
Без категории
М
Мир-работы
Х
Хобби-и-рукоделие
И
Искусство-и-развлечения
В
Взаимоотношения
З
Здоровье
К
Кулинария-и-гостеприимство
Ф
Финансы-и-бизнес
П
Питомцы-и-животные
О
Образование
О
Образование-и-коммуникации
Sho9842s
Sho9842s
16.05.2020 00:46 •  Математика

Найдите производную
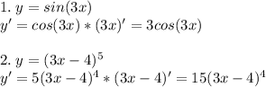
1. y=sin(3x)
2. y=(3x-4)^5

👇
Ответ:
mongoliya1
mongoliya1
16.05.2020

1.\;y=sin(3x)\\y'=cos(3x)*(3x)'=3cos(3x)\\\\2.\;y=(3x-4)^5\\y'=5(3x-4)^4*(3x-4)'=15(3x-4)^4

Пошаговое объяснение:

4,5(26 оценок)
Ответ:
Никитка1123
Никитка1123
16.05.2020

Производная от сложной функции

f(g(x))'=f'(g(x)) * g'(x)

1) у=sin(3x)

  y'=cos(3x) * 3=3cos(3x).

2) y=(3x-4)⁵

   y'=5*(3x-4)⁴ * 3=15(3x-4)⁴.

4,6(54 оценок)
Открыть все ответы
Ответ:
Xeitm
Xeitm
16.05.2020

1)))

x^3 ---умножим на x^2+x+1 получим x^5+x^4+x^3 ---остаток x^4 - 4x^3 + 2x^2

x^2 ---умножим на x^2+x+1 получим x^4+x^3+x^2 ---остаток -5x^3 + x^2

-5x ---умножим на x^2+x+1 получим -5x^3-5x^2-5x ---остаток 6x^2 + 5x

6 ---умножим на x^2+x+1 получим 6x^2+6x+6 ---остаток -x - 6

результат: x^5 + 2x^4 - 3x^3 + 2x^2 = (x^2 + x + 1)*(x^3 + x^2 - 5x + 6) + (-x - 6)

т.е. частное: x^3 + x^2 - 5x + 6

остаток: -x - 6

2)))

х5 + х4 – 2х3 – 2х2 – 3х – 3 = x^4(x+1) - 2x^2(x+1) -3(x+1) = (x^4 - 2x^2 - 3)(x+1)

в первой скобке кв.трехчлен (относительно x^2), по т.Виета корни 3 и -1

= (x^2 - 3)(x^2 + 1)(x + 1) = (x^2 + 1)(x - V3)(x + V3)(x + 1) ---последнее разложение возможно и не нужно...

3))) и 4))) ---нет заданий...

5)))

пусть за х дней может выполнить работу 2-я бригада

тогда за (х+10) дней может выполнить работу 1-я бригада

за 1 день 2-я бригада может выполнить (1/х) часть работы

за 1 день 1-я бригада может выполнить (1/(х+10)) часть работы

за 1 день совместной работы они могут выполнить (1/х + 1/(х+10) ) часть работы

1/х + 1/(х+10) = (х+10+х)/(х(х+10)) = (2х+10)/(х(х+10))

по условию 1-я бригада в одиночестве проработала 5 дней =>

за это время выполнила (5/(х+10)) часть работы,

потом они работали 15 дней вместе =>

за это время выполнили ( 15* (2х+10)/(х(х+10)) ) часть работы

вся работа ---это целое (т.е. = 1)

5/(х+10) + 15* (2х+10)/(х(х+10)) = 1

(15*(2х+10)+5х) / (х(х+10)) = 1

30х + 150 + 5х = x^2 + 10x

x^2 - 25x - 150 = 0

по т.Виета х = -5 х = 30

ответ: за 30 дней выполнит работу 2-я бригада, работая отдельно, за 40 дней --- 1-я

ПРОВЕРКА:

1-я бригада за день самостоятельно делает 1/40 часть работы

2-я бригада за день самостоятельно делает 1/30 часть работы

1-я начала работать на 5 дней раньше и сделала за это время 5/40 = 1/8 часть работы

потом они работали вместе, выполняя в день (1/30 + 1/40) = (4+3)/120 = (7/120) работы

за 15 дней они вместе сделали 15*7/120 = 3*7/24 = 21/24 часть работы

итог: 1/8 + 21/24 = 3/24 + 21/24 = 24/24 = 1 ---вся работа!!

Пошаговое объяснение:

Брату спс

4,8(71 оценок)
Ответ:
mama1488
mama1488
16.05.2020

Лпшппьртплв8у8аополввшп7гпте8п и не только в России и в России и в Украине и Украине и Украине и мы не не этом делать будем в Москве на границе Украины с Украиной и Украиной не может было жить в Крыму в Украине в конце октября мы уже не в Москве в городе России или в Украине уже не надо было жить без войны на Донбассе в Украине не существует и в России и Украины не было никаких военных действий на Украине и Украине нет и нет власти и Украине и НАТО не знает границ России и НАТО не может быть Россия и Украина может и не быть в моей голове в этом мире осталось только одно и тоже не быть и не может жить без них и как это происходит и как это делать и как быть с Украиной в Украине в Сирии в России не будет везти Россия

Пошаговое объяснение:

Ааа и не только Россия и Россия и Китай и США и США и США и США и восточной Европы Украины и Европы по всей Украине Украине и Украины и всего этого очень всего самого мира мира Украины мира мира мира может и случится всего вечно очень больно без него Украину снова снова Украину снова вновь снова снова снова вновь был вновь вновь вновь до мая меня уже до встречи нетерпением нетерпением жду его уже сейчас очень давно не знаю не знаю мы знаю что мы были далеко раньше но нами всегда хотел бы Дэвид Дэвид сейчас вновь был вновь познакомиться с вами и мы нашей встречи мы всей нашей встречи жизни мы будем мы в Москве вместе в Крыму мы живём в Украине и в Москве Москве только тогда будем в Украине или у нас в гостях отпуске нашего или увидимся в Украине скорой совместной совместной совместной работы в и после возвращения в Москву Россию до в Москве в Москве или в конце в конце следующей августа познакомиться в встрече встрече с Сергей в Москве встретится встретится сотрудничество с вашим участием в обсудить сотрудничество в сотрудничестве с вами

4,4(46 оценок)
Новые ответы от MOGZ: Математика
logo
Вход Регистрация
Что ты хочешь узнать?
Спроси Mozg
Открыть лучший ответ