М
Молодежь
К
Компьютеры-и-электроника
Д
Дом-и-сад
С
Стиль-и-уход-за-собой
П
Праздники-и-традиции
Т
Транспорт
П
Путешествия
С
Семейная-жизнь
Ф
Философия-и-религия
Б
Без категории
М
Мир-работы
Х
Хобби-и-рукоделие
И
Искусство-и-развлечения
В
Взаимоотношения
З
Здоровье
К
Кулинария-и-гостеприимство
Ф
Финансы-и-бизнес
П
Питомцы-и-животные
О
Образование
О
Образование-и-коммуникации

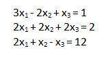
Решение матрицы методом Гаусса:


Решение матрицы методом Гаусса:

👇
Ответ:
ksenyarobulet
ksenyarobulet
19.01.2023

morgen krytoi

Пошаговое объяснение:

4,4(60 оценок)
Открыть все ответы
Ответ:
сойдет2
сойдет2
19.01.2023
А1. Что такое пейзаж ? 
а) жанр ИЗО ( изобразительного искусства )  ,  главным объектом которого является  природа  
б) жанр ИЗО , главным объектом которого является человек  
в ) жанр ИЗО , в являются животные  
А2. Какого вида пейзажа не существует в ИЗО ?  
а)  зимнего 
б)летнего  
в) межсезонного 
А3 . Изображение природы   в один момент , но во всей полноте  называется -  ...
а) полным 
б) детальным  
в) композицией  
А4. Художником -пейзажистом  не являлся : 
а) Левитан 
б)  Шишкин  
в) Пикассо  
А5 . Расположение  всех  частей произведения в пространстве  и времени называется :  
а) композиция 
б) натура  
в) графика 
А6.  Импрессионистический  пейзаж – изображение природы в момент ее изменения ? 
а)  да  
б)  нет 
в) другой ответ 
А7  .  Писал ли  пейзажи  Алексеев Ф. ?  
а)  да  
б)  нет  
А8.  В утреннем пейзаже  преобладают .. 
а)  теплые цвета  
б)  холодные  
в) нейтральные  
Дальше сами )  
4,5(93 оценок)
Ответ:
кошка3310
кошка3310
19.01.2023
1. Линия, штрих, тон – основные средства художественной выразительности:а) живописиб) скульптурыв) графики2. Предварительный рисунок к произведению, отражающий поиски наилучшей композиции:а) набросокб) эскизв) этюд3. Как называется гравюра на дереве:а) ксилографияб) литографияв) офорт4. К какому виду искусства относится понятие « лессировка»:а) живописьб) графикав) архитектура5. Какой цвет не относится к тёплым:а) жёлтыйб) синийв) оранжевый6. К какому виду изобразительного искусства  относятся понятия: горельеф, барельеф:а) живописьб) скульптурав) графика7. Кто автор знаменитой скульптуры «Дискобол»:а) Миронб) Микеланджелов) Роден8. В каком жанре работали художники Е. Чарушин, В. Ватагин:а) анималистическийб) мифологическийв) батальный9. В каком жанре работали художники А. Саврасов,  И. Шишкин, И. Левитан:а) натюрмортб) пейзажв) портрет10. Примером какого жанра служит картина В.А. Тропинина «Кружевница»:а) портретб) натюрмортв) пейзаж11. Один из жанров изобразительного искусства, посвящённый изображению предметов обихода, снеди, цветов и пр.а) натюрмортб) анималистическийв) батальный12. Примером какого жанра служит картина М. Сарьяна «Цветы», К. Петрова-Водкина «Скрипка»а) пейзажб)  натюрмортв) бытовой
4,5(57 оценок)
Это интересно:
Новые ответы от MOGZ: Математика
logo
Вход Регистрация
Что ты хочешь узнать?
Спроси Mozg
Открыть лучший ответ