М
Молодежь
К
Компьютеры-и-электроника
Д
Дом-и-сад
С
Стиль-и-уход-за-собой
П
Праздники-и-традиции
Т
Транспорт
П
Путешествия
С
Семейная-жизнь
Ф
Философия-и-религия
Б
Без категории
М
Мир-работы
Х
Хобби-и-рукоделие
И
Искусство-и-развлечения
В
Взаимоотношения
З
Здоровье
К
Кулинария-и-гостеприимство
Ф
Финансы-и-бизнес
П
Питомцы-и-животные
О
Образование
О
Образование-и-коммуникации
Нифи2005
Нифи2005
18.12.2021 06:03 •  Математика

Найти производные функции а) у=arcsin*√(1-3x)
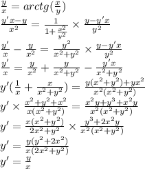
б) (у/х) =arctg(x/y)
в) y=x(в степени) (-tgx)
минут

👇
Ответ:
babayka76
babayka76
18.12.2021

y = arcsin \sqrt{1 - 3x}

y' = \frac{1}{ \sqrt{1 - (1 - 3x)} } \times \frac{1}{2 \sqrt{1 - 3x} } \times ( - 3) = \\ = \frac{1}{ \sqrt{3x} } \times ( - \frac{3}{2 \sqrt{1 - 3x} } ) = \\ = - \frac{ \sqrt{3} }{2 \sqrt{x(1 - 3x)} }

б)

\frac{y}{x} = arctg( \frac{x}{y} ) \\ \frac{y'x - y}{ {x}^{2} } = \frac{1}{1 + \frac{ {x}^{2} }{ {y}^{2} } } \times \frac{y - y'x}{ {y}^{2} } \\ \frac{y'}{x} - \frac{y}{ {x}^{2} } = \frac{ {y}^{2} }{ {x}^{2} + {y}^{2} } \times \frac{y - y'x}{ {y}^{2} } \\ \frac{y'}{x} = \frac{y}{ {x}^{2} } + \frac{y}{ {x}^{2} + {y}^{2} } - \frac{y'x}{ {x}^{2} + {y}^{2} } \\ y'( \frac{1}{x} + \frac{x}{ {x}^{2} + {y}^{2} } ) = \frac{y( {x}^{2} + {y}^{2} ) + y {x}^{2} }{ {x}^{2} ( {x}^{2} + {y}^{2} )} \\ y' \times \frac{ {x}^{2} + {y}^{2} + {x}^{2} }{x( {x}^{2} + {y}^{2}) } = \frac{ {x}^{2}y + {y}^{3} + {x}^{2} y}{ {x}^{2} ( {x}^{2} + {y}^{2}) } \\ y' = \frac{x( {x}^{2} + {y}^{2} )}{2 {x}^{2} + {y}^{2} } \times \frac{ {y}^{3} + 2 {x}^{2} y }{ {x}^{2} ( {x}^{2} + {y}^{2} ) } \\ y' = \frac{ y({y}^{2} + 2 {x}^{2} )}{x(2 {x}^{2} + {y}^{2} )} \\ y' = \frac{y}{x}

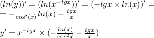
в)

формула:

y '= ( ln(y))' \times y

( ln(y))' = ( ln( {x}^{ - tgx} ) )' = ( - tgx \times ln(x)) ' = \\ = - \frac{1}{ { \cos }^{2} (x)} ln(x) - \frac{tgx}{ x } \\ \\ y' = {x}^{ - tgx} \times ( - \frac{ ln(x) }{ { \cos }^{2}x } - \frac{tgx}{x} )

4,6(76 оценок)
Открыть все ответы
Ответ:
olyakirnay
olyakirnay
18.12.2021
А) 2/5 и 5/12 = 8/60 и 25/60Б) 5/12 и 7/8 = 10/24 и 21/24В) 6/17 и 11/34 = 204/578 и 187/578Г) 5/16 и 5/12 = 15/48 и 20/48Д) 7/33 и 3/77 = 48/231 и 9/231Е) 5/22 и 2/55 = 25/110 и 4/110Ж) 4/15 и 3/20 = 16/60 и 9/60З) 5/121 и 8/99 = 40/1089 и 88/1089И) 1/72 и 1/56 = 7/504 и 9/504К) 1/48 и 1/72 = 3/144 и 2/144Л) 2/77и 3/44 = 8/308 и 21/308М) 1/51 и 1/68 = 4/204 и 3/204Н) 5/36 и 7/54 = 15/108 и 14/108О) 9/35 и 11/45 = 81/315 и 77/315П) 4/49 и 5/63 = 36/441 и 35/441Р) 15/98  и 13/72 = 540/3528 и 637/3528 вот чтото типо того)
4,5(4 оценок)
Ответ:
GMGasanovmm
GMGasanovmm
18.12.2021

50 кг

Пошаговое объяснение:

Пусть масса цинка Х, тогда процент меди в сплаве:

 (20кг:(20+Х)кг)·100%, 

При добавлении 25 кг меди, а ее содержание в сплаве стало:

(45кг:(45+Х)кг)·100%

разница в процентном содержании меди:

(45:(45+Х))·100% - (20:(2-+Х))·100%=20%

Для удобства вычисления избавимся от %, т.е. разделим все части уравнения на 100%: 45/(45+Х)-20/(20+Х)=0,2; приведем к общему знаменателю: 45·(20+Х)-20·(45+Х)=0,2·(45+Х)·(20+Х);

900+45Х-900+20Х=0,2(Х²+65Х+900);  25Х=0,2Х²+13Х+180;

0,2Х²-12Х+180=0; Х₁=[12+√(144-144)]:0,4=12:0,4=30(кг),(т.к. подкорнем0, то Х₁=Х₂=30кг. Это масса цинка.

А первоначальная масса сплава =20кг+Х=20кг+30кг=50кг

4,4(17 оценок)
Это интересно:
Новые ответы от MOGZ: Математика
logo
Вход Регистрация
Что ты хочешь узнать?
Спроси Mozg
Открыть лучший ответ