Вход
Регистрация
Спроси Mozg AI
М
Молодежь
К
Компьютеры-и-электроника
Д
Дом-и-сад
С
Стиль-и-уход-за-собой
П
Праздники-и-традиции
Т
Транспорт
П
Путешествия
С
Семейная-жизнь
Ф
Философия-и-религия
Б
Без категории
М
Мир-работы
Х
Хобби-и-рукоделие
И
Искусство-и-развлечения
В
Взаимоотношения
З
Здоровье
К
Кулинария-и-гостеприимство
Ф
Финансы-и-бизнес
П
Питомцы-и-животные
О
Образование
О
Образование-и-коммуникации
.....больше.....
..меньше..
Mrklazik
17.01.2021 06:49 •
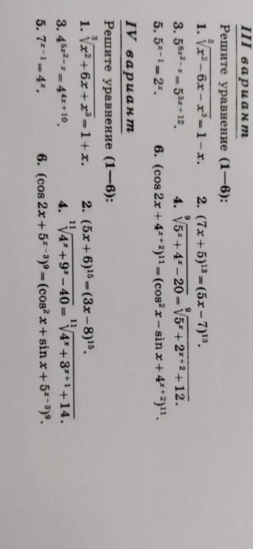
Математика
минут осталось. Сдать надо. Вариант 3. Номер 6.
👇
Увидеть ответ
Открыть все ответы
Ответ:
vika8914
17.01.2021
1) Пусть D(x1;y1) а B(x2;y2), тогда (x - x1)/(x2 -x1) = (y - y1)/ (y2 - y1) Подставим координаты (x - 3)/ (-5 -3) = (y + 4)/(4 + 4) ; y + 4 = 3 - x; отсюда y = - x - 1; 2) Пусть искомая точка O(x;y). Так как точка лежит на оси абсцисс, то y =0. Значит O(x;0).Нужно чтобы выполнялось условие DO = KO. DO = корень квадратный из выражения (1 - x)² + (6 - 0)² = (1 - x)² +36 ; KO = корню квадратному из выражения (7 -x)² + (2 - 0)² = (7 - x)² + 4. Так как DO = KO, то (1-x)² + 36 = (7-x )² + 4 ; отсюда 12x = 16; x = (1)1/3 ответ:O((1)1/3; 0)
4,8
(85 оценок)
Ответ:
tanyagorelik
17.01.2021
1) Пусть D(x1;y1) а B(x2;y2), тогда (x - x1)/(x2 -x1) = (y - y1)/ (y2 - y1) Подставим координаты (x - 3)/ (-5 -3) = (y + 4)/(4 + 4) ; y + 4 = 3 - x; отсюда y = - x - 1; 2) Пусть искомая точка O(x;y). Так как точка лежит на оси абсцисс, то y =0. Значит O(x;0).Нужно чтобы выполнялось условие DO = KO. DO = корень квадратный из выражения (1 - x)² + (6 - 0)² = (1 - x)² +36 ; KO = корню квадратному из выражения (7 -x)² + (2 - 0)² = (7 - x)² + 4. Так как DO = KO, то (1-x)² + 36 = (7-x )² + 4 ; отсюда 12x = 16; x = (1)1/3 ответ:O((1)1/3; 0)
4,8
(15 оценок)
Это интересно:
П
Питомцы-и-животные
23.03.2021
Как правильно обращаться с агрессивной кошкой...
К
Кулинария-и-гостеприимство
17.06.2022
Как приготовить вкусный русский салат...
К
Кулинария-и-гостеприимство
27.09.2021
Как правильно и быстро подготовить корень имбиря к приготовлению...
С
Стиль-и-уход-за-собой
11.01.2020
Как избавиться от зудящего ожога (светлая кожа)...
З
Здоровье
27.09.2021
Как улучшить сон...
О
Образование-и-коммуникации
11.10.2020
Как говорить по-фински: основные правила и рекомендации...
О
Образование-и-коммуникации
02.07.2021
Как построить пирамиду для школы: шаг за шагом руководство...
С
Стиль-и-уход-за-собой
16.06.2021
Как нарисовать дизайн ногтей Splatter...
К
Компьютеры-и-электроника
29.08.2022
Как быстро и легко изменить язык Google...
К
Компьютеры-и-электроника
05.08.2021
Секреты успешной презентации: Как создать эффективную презентацию в PowerPoint?...
Новые ответы от MOGZ: Математика
Odarchuk
05.04.2020
Если в некоторой десятичной дроби перенести запятую вправо на один знак,то она увеличится на 23,49. найти эту дробь....
Оля142768
05.04.2020
Расстояние между островами алулий и китовый равно 48 морских миль.от этих островов одновременно в одном напровлении отчалили фрегаты отважный и стремительный ,причем отважный...
bulyginanastya
05.04.2020
Тема: сложение и вычитание обыкновенных дробей. ! вычислить: а) (300-1/6)+7/12; б) 2 13/30-(1 1/10+1/5) (две целых 13/30 это дробь)и (одна целая 1/10 это дробь) решить...
Klaro555
05.04.2020
Из бочки вылили 7/12 находившегося там керосина. сколько литров керосина было в бочке, если из нее вылили 84 л?...
alisaBacura
05.04.2020
Запиши все двузначные числа в которых число единиц в 4 раза больше .чем число дсятков...
лия206
05.04.2020
792/24 каким удобным можно решить? расписать!...
Аметисса1Грэсс
05.04.2020
Вини пух,пятачок,кролик,и ослик иа вместе съели 70 бананов,причём каждому сколько-то досталось.вини съел больше остальных,а кролик и пятачок вместе съели 45 бананов.сколько...
YLANKATV
05.04.2020
Расстояние между двумя 72 км.треть этого расстояния поезд за 12 минут.с какой скоростью поезд?...
amg1303
05.04.2020
Цена товара снизилась на 20%, а затем еще на 20%. на сколько процентов необходимо повысить новую цену, чтобы она сравнялась с первоначальной?...
tanchik2511
05.04.2020
Сколько полных недель в високосном году?...
MOGZ ответил
4. Проба пера Придумай вопросы по содержанию текста. 1. Простые вопросы...
Проанализируйте стихотворение «Грядой клубится белою...» А. Толстой....
Вычертите графики функций у = 2cos 0.5 x в виде схемы и запишите свойства...
БЫСТРЕЕ Вставьте пропущенные буквы Соб..рается зап..рать в..рота, перег..реть...
Отметьте верные высказывания в толковых сдоварях представлены паронимы....
Н.С.Лесков «Левша» Глава № 2. 1. Чем хотели англичане поразить русского...
Тарас Бульба Н. В. Гоголь...
Очень ОЧЕНЬ Раскажи где ты видел ландыш какое впечатление произвёл на...
Думаю синий, но не уверенна...
Решите систему уравнений {2x-12y=16 {-x+6y=-8...
Полный доступ к MOGZ
Живи умнее Безлимитный доступ к MOGZ
Оформи подписку
О НАС
О нас
Блог
Условия пользования
Авторское право
Политика конфиденциальности
Предпочтения cookie-файлов
ПОМОЩЬ
Зарегистрируйся
Центр помощи
Центр безопасности
App
Вход
Регистрация
Что ты хочешь узнать?
Спроси Mozg
Открыть лучший ответ