М
Молодежь
К
Компьютеры-и-электроника
Д
Дом-и-сад
С
Стиль-и-уход-за-собой
П
Праздники-и-традиции
Т
Транспорт
П
Путешествия
С
Семейная-жизнь
Ф
Философия-и-религия
Б
Без категории
М
Мир-работы
Х
Хобби-и-рукоделие
И
Искусство-и-развлечения
В
Взаимоотношения
З
Здоровье
К
Кулинария-и-гостеприимство
Ф
Финансы-и-бизнес
П
Питомцы-и-животные
О
Образование
О
Образование-и-коммуникации
shadedarawshy9
shadedarawshy9
26.07.2022 05:54 •  Математика

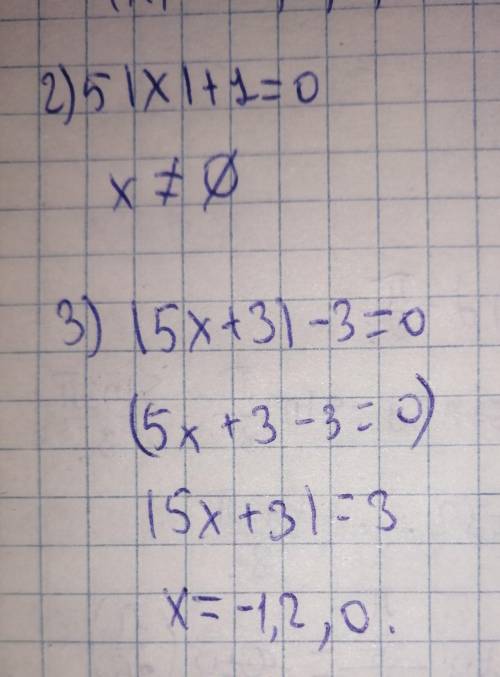
Решить уравнение: 7) 2|x|-5=0;

8) 5|x|+1=0; 2010

9) |5x+3|-3=0;

10) |3x| – 2|+5=7.​

👇
Ответ:
ironthewolf72
ironthewolf72
26.07.2022

Пошаговое объяснение:

Я не поняла 4. Мне кажется, вы не правильно написали


Решить уравнение: 7) 2|x|-5=0; 8) 5|x|+1=0; 20109) |5x+3|-3=0;10) |3x| – 2|+5=7.​
Решить уравнение: 7) 2|x|-5=0; 8) 5|x|+1=0; 20109) |5x+3|-3=0;10) |3x| – 2|+5=7.​
4,8(36 оценок)
Открыть все ответы
Ответ:
ЕваЛя
ЕваЛя
26.07.2022

Пошаговое объяснение:

1,4 + 5,2х - 13 = 1,6х - 9,

//переносим переменные влево, числовые значения вправо//

5,2х - 1,6х = -9 + 13 - 1,4,

3,6х = 2,6,

х = 2,6 : 3,6,

х = 26/36,

х = 13/18,

или:

х = 0,7(2)

проверка:

1,4 + 5,2 * 13/18 - 13 = 1,6 * 13/18 - 9,

14/10 + 52/10 * 13/18 - 13 = 16/10 * 13/18 - 9,

126/90 + 338/90 - 13 = 104/90 - 9,

464/90 - 13 = 104/90 - 9,

5 14/90 - 13 = 1 14/90 - 9,

5 14/90 - 1 14/90 = 13 - 9,

4 = 4,

задача:

1) 3,2 * 4,2 = 13,44 км/ч - скорость велосипедиста,

2) 3,2 + 13,44 = 16,64 км/ч - скорость сближения,

3) 1,6 * 16,64 = 26,624 км - расстояние между сёлами

4,7(12 оценок)
Ответ:
dakuevasaida
dakuevasaida
26.07.2022

Пошаговое объяснение:

1,4 + 5,2х - 13 = 1,6х - 9,

//переносим переменные влево, числовые значения вправо//

5,2х - 1,6х = -9 + 13 - 1,4,

3,6х = 2,6,

х = 2,6 : 3,6,

х = 26/36,

х = 13/18,

или:

х = 0,7(2)

проверка:

1,4 + 5,2 * 13/18 - 13 = 1,6 * 13/18 - 9,

14/10 + 52/10 * 13/18 - 13 = 16/10 * 13/18 - 9,

126/90 + 338/90 - 13 = 104/90 - 9,

464/90 - 13 = 104/90 - 9,

5 14/90 - 13 = 1 14/90 - 9,

5 14/90 - 1 14/90 = 13 - 9,

4 = 4,

задача:

1) 3,2 * 4,2 = 13,44 км/ч - скорость велосипедиста,

2) 3,2 + 13,44 = 16,64 км/ч - скорость сближения,

3) 1,6 * 16,64 = 26,624 км - расстояние между сёлами

4,5(68 оценок)
Это интересно:
Новые ответы от MOGZ: Математика
Полный доступ к MOGZ
Живи умнее Безлимитный доступ к MOGZ Оформи подписку
logo
Вход Регистрация
Что ты хочешь узнать?
Спроси Mozg
Открыть лучший ответ