М
Молодежь
К
Компьютеры-и-электроника
Д
Дом-и-сад
С
Стиль-и-уход-за-собой
П
Праздники-и-традиции
Т
Транспорт
П
Путешествия
С
Семейная-жизнь
Ф
Философия-и-религия
Б
Без категории
М
Мир-работы
Х
Хобби-и-рукоделие
И
Искусство-и-развлечения
В
Взаимоотношения
З
Здоровье
К
Кулинария-и-гостеприимство
Ф
Финансы-и-бизнес
П
Питомцы-и-животные
О
Образование
О
Образование-и-коммуникации
maksimenkokostp088j4
maksimenkokostp088j4
13.02.2021 04:23 •  Математика

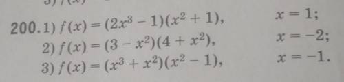
решить,вычислите производную f'(x) при данном значении аргумента x​


решить,вычислите производную f'(x) при данном значении аргумента x​

👇
Ответ:
madama1994
madama1994
13.02.2021

1)раскрыла скобки,переумножив

2)находим производную

Например : (12)'=0

(x^2)'=2x тут степень пишем вперед,а саму уменьшаем на 1 единицу


решить,вычислите производную f'(x) при данном значении аргумента x​
4,8(32 оценок)
Открыть все ответы
Ответ:
yoeru
yoeru
13.02.2021
Если из любого числа вычесть число, которое делится на 11, то получится число с таким же остатком от деления на 11, как и первоначальное.
Можно сразу убрать первые 11 и последние 1111111111 = 11*101010101
Два 0 спереди тоже отбрасываются. Остается
11100111100111110011111100111111100111111110011111111100
Четное количество нулей тоже можно убрать, от них ничего не зависит.
Например, число 100 или 10000 при делении на 11 дает остаток 1.
111001111001111100111111001111111001111111100111111111
Теперь опять убираем 2 единицы спереди и 8 единиц сзади.
10011110011111001111110011111110011111111001
В начале и в конце получились числа 1001 = 7*11*13, тоже кратные 11
111001111100111111001111111001111111
Продолжаем в том же духе - убираем четные количества 1 и 0
1001111100111111001111111001
11110011111100111111
0011111100
111111
Это число делится на 11 нацело. Значит, и исходное тоже.
ответ: остаток равен 0
4,8(62 оценок)
Ответ:
heylalaoxkpop
heylalaoxkpop
13.02.2021
156:48=3.25;    278:62≈ 4,48387;     346:56≈6,17857;  445:73≈6,09589;

156/48            278/62               346/56                   445/73
-    /3,25          -   /4,48387       -    /6,17857          -     /6,09589
144                 248                     336                       438
120                  300                       100                         700
-                      -                            -                             - 
  96                  248                         56                         657
    240                520                       440                         430
-                        -                           -                               - 
    240                496                       392                          365
      0                     240                      480                          650
                           -                           -                                -
                             186                      448                          584
                               540                      320                          660
                               -                          -                              -
                                496                     280                          657
                                  440                     400                            3                                                  -                          -
                                   434                    392
                                       6                        8
                                   
4,6(95 оценок)
logo
Вход Регистрация
Что ты хочешь узнать?
Спроси Mozg
Открыть лучший ответ