М
Молодежь
К
Компьютеры-и-электроника
Д
Дом-и-сад
С
Стиль-и-уход-за-собой
П
Праздники-и-традиции
Т
Транспорт
П
Путешествия
С
Семейная-жизнь
Ф
Философия-и-религия
Б
Без категории
М
Мир-работы
Х
Хобби-и-рукоделие
И
Искусство-и-развлечения
В
Взаимоотношения
З
Здоровье
К
Кулинария-и-гостеприимство
Ф
Финансы-и-бизнес
П
Питомцы-и-животные
О
Образование
О
Образование-и-коммуникации
kotyaraasm
kotyaraasm
22.05.2021 04:52 •  Математика

3+x/8 = 6/11

решить, очень


3+x/8 = 6/11 решить, очень ​

👇
Ответ:
Ganshit
Ganshit
22.05.2021

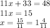
11 (3+х)=8×6

33+11х=48

11х=48-33=15

х=15/11

4,4(72 оценок)
Ответ:
SHiiimochka
SHiiimochka
22.05.2021

Пошаговое объяснение:

если перемножить крест накрест

11x + 33 = 48 \\ 11x = 15 \\ x = \frac{15}{11} = 1 \frac{4}{11}

4,4(42 оценок)
Открыть все ответы
Ответ:
mathewkichunov
mathewkichunov
22.05.2021
№1.
1) 50a - (70 - 100a) + (90 - 75a) × 2 = 50a - 70 + 100a + 180 - 150a = 110 => значение выражения не зависит от переменной а, т.к. переменная а при упрощении этого выражения сокращается, ч.т.д.
2) -5/18 × (9с + 4) + 4с - 0,5(3с - 7/9) = -2,5с - 20/18 + 4с - 1,5с - 1/2 × (-7/9) = -20/18 + 7/18 = -13/18 => значение выражения не зависит от переменной с, т.к. переменная с при упрощении этого выражения сокращается, ч.т.д.
№2.
1) 4 + а - (b + c) = 4 + a - b - c
2) -(8 + z) + (s - R) = -8 - z + s - R
4,5(48 оценок)
Ответ:
№1.
1) 50a - (70 - 100a) + (90 - 75a) × 2 = 50a - 70 + 100a + 180 - 150a = 110 => значение выражения не зависит от переменной а, т.к. переменная а при упрощении этого выражения сокращается, ч.т.д.
2) -5/18 × (9с + 4) + 4с - 0,5(3с - 7/9) = -2,5с - 20/18 + 4с - 1,5с - 1/2 × (-7/9) = -20/18 + 7/18 = -13/18 => значение выражения не зависит от переменной с, т.к. переменная с при упрощении этого выражения сокращается, ч.т.д.
№2.
1) 4 + а - (b + c) = 4 + a - b - c
2) -(8 + z) + (s - R) = -8 - z + s - R
4,7(17 оценок)
Это интересно:
Новые ответы от MOGZ: Математика
logo
Вход Регистрация
Что ты хочешь узнать?
Спроси Mozg
Открыть лучший ответ