М
Молодежь
К
Компьютеры-и-электроника
Д
Дом-и-сад
С
Стиль-и-уход-за-собой
П
Праздники-и-традиции
Т
Транспорт
П
Путешествия
С
Семейная-жизнь
Ф
Философия-и-религия
Б
Без категории
М
Мир-работы
Х
Хобби-и-рукоделие
И
Искусство-и-развлечения
В
Взаимоотношения
З
Здоровье
К
Кулинария-и-гостеприимство
Ф
Финансы-и-бизнес
П
Питомцы-и-животные
О
Образование
О
Образование-и-коммуникации
Лоликус
Лоликус
13.12.2021 01:59 •  Математика

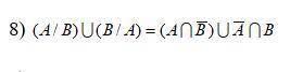
Доказать тождество через Эйлер-Венн диаграмму и опираясь на основные свойства.


Доказать тождество через Эйлер-Венн диаграмму и опираясь на основные свойства.

👇
Открыть все ответы
Ответ:
angel1073
angel1073
13.12.2021
                               Собрали овощей            кол-во машин         вместимость
                                                                                                     машины
год                 12 ц                            3 маш                     ?
Настоящий год               15 ц                          ? маш                 ? на 100 кг >

1) 12 ц : 3 = 4 ц = 400 кг грузили в году в машину
2) 400 + 100 = 500 кг = 5 ц будут грузить в машину в этом году
3) 15 : 5 = 3 машины понадобится, чтобы отвести овощи в этом году
4,5(44 оценок)
Ответ:
Farzalievik
Farzalievik
13.12.2021
                               Собрали овощей            кол-во машин         вместимость
                                                                                                     машины
год                 12 ц                            3 маш                     ?
Настоящий год               15 ц                          ? маш                 ? на 100 кг >

1) 12 ц : 3 = 4 ц = 400 кг грузили в году в машину
2) 400 + 100 = 500 кг = 5 ц будут грузить в машину в этом году
3) 15 : 5 = 3 машины понадобится, чтобы отвести овощи в этом году
4,7(80 оценок)
Это интересно:
Новые ответы от MOGZ: Математика
logo
Вход Регистрация
Что ты хочешь узнать?
Спроси Mozg
Открыть лучший ответ