М
Молодежь
К
Компьютеры-и-электроника
Д
Дом-и-сад
С
Стиль-и-уход-за-собой
П
Праздники-и-традиции
Т
Транспорт
П
Путешествия
С
Семейная-жизнь
Ф
Философия-и-религия
Б
Без категории
М
Мир-работы
Х
Хобби-и-рукоделие
И
Искусство-и-развлечения
В
Взаимоотношения
З
Здоровье
К
Кулинария-и-гостеприимство
Ф
Финансы-и-бизнес
П
Питомцы-и-животные
О
Образование
О
Образование-и-коммуникации
Рикашикина
Рикашикина
25.05.2022 02:17 •  Математика

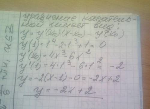
Написать уравнение касательной к графику функции в точке x0 . y=x^4-2x^3+1, x0=1

👇
Ответ:
kriss6745
kriss6745
25.05.2022

решение на фотографии


Написать уравнение касательной к графику функции в точке x0 . y=x^4-2x^3+1, x0=1
4,6(69 оценок)
Открыть все ответы
Ответ:
Серёжа331
Серёжа331
25.05.2022

Сочинение на тему: "Любовь".

Что такое любовь? Это очень сильная привязанность к какому-либо человеку или предмету. Где начинается любовь? В семье, в любящей семье, по-моему мнению, ребёнку нужно давать любовь, внимание, а также воспитание. А что насчёт романтической любви? Если человек влюбится или же он просто романтик, ему нужен предмет для обожанания и у них всё должно быть взаимно. Любовь нужна тем, кто в ней нуждается. А сможем мы ли прожить без неё? Смотря кто, всё возможно, если человек не получит вообще никакой любви и будет жить в одниночестве, он просто привыкнет так жить и для него такая жизнь будет нормой.

4,5(24 оценок)
Ответ:
aggrib
aggrib
25.05.2022
В России есть много национальных праздников. Люди во всей стране не работают и проводятся специальные торжества. Главные государственные праздники: Новый год, 8 Марта, 1 Мая, День Победы и День Независимости.

Первый праздник года — Новый год. Люди встречают новый год в полночь 31-го декабря. Они встречают новый год с шампанским и слушают бой Кремлевских курантов, отсчитывающих 12 ударов.

Существует много новогодних традиций в России. В каждом доме есть новогодняя елка, сверкающая цветными огнями и украшениями. Дети всегда ждут, чтобы пришел Деда Мороз и подарил им подарки. Многие люди полагают, что Новый год — семейный праздник. Но молодежь предпочитает устраивать собственные новогодние вечеринки.

Возобновленный праздник в нашей стране — Рождество. Он отмечается 7-го января. Это — религиозный праздник и много людей идут на церковные службы в этот день.

Неофициальным «Мужским днем» является 23-е февраля, это — праздник, который называется «День Защитника Отечества». В этот день женщины обычно дарят мужчинам небольшие подарки.

8-го марта мы празднуем Женский День, когда мужчины, как предполагается, делают все по дому и готовят всю еду. Это довольно таки хорошо — по крайней мере один раз в год женщины могут отдохнуть и забыть обо всех этих тарелках, приготовлении, детях, взять журнал и расслабиться на кушетке.

1-го мая — День Труда. Во времена Советского Союза в этот день проводились огромные демонстрации, так как каждый должен был показать свою преданность государству; сейчас только коммунисты организовывают митинги в этот день.

Самый большой национальный праздник в нашей стране — День Победы. 9-го мая 1945 г. советская армия и ее союзники полностью одержали победу над немецкими фашистами и Вторая Мировая война и Великая Отечественная война закончились. Величественный мемориал был построен на Поклонной горе, в честь ознаменования победы. Многие ветераны принимают участие в военном параде и возлагают венки к могиле Неизвестного Солдата. Радио и телевидение передают популярные военные песни. Много гостей из разных стран мира приезжает в Москву, чтобы участвовать в празднованиях.

День независимости — новый праздник в нашей стране. 12-го июня 1992 г. был избран первый президент России.

1-го сентября — День Знаний — это начало учебного года. Дети идут в школы с цветами для учителей, перед началом занятий проводятся линейки.

12-го декабря — День Конституции. В этот день в 1993 г. была принята первая Конституция Российской Федерации (предыдущие были Конституциями Советского Союза).

Русские люди любят праздновать. Мы переняли западные праздники, такие как день Св. Валентина и Хэллоуин. Мы также относимся с уважением к китайскому Новому году, мусульманским и еврейским праздникам, поскольку русские очень терпимы к другим религиям.

Мы также празднуем Пасху и много профессиональных праздников, которые не являются выходными днями и банки, офисы и школы не закрываются.
4,4(82 оценок)
Это интересно:
Новые ответы от MOGZ: Математика
logo
Вход Регистрация
Что ты хочешь узнать?
Спроси Mozg
Открыть лучший ответ