М
Молодежь
К
Компьютеры-и-электроника
Д
Дом-и-сад
С
Стиль-и-уход-за-собой
П
Праздники-и-традиции
Т
Транспорт
П
Путешествия
С
Семейная-жизнь
Ф
Философия-и-религия
Б
Без категории
М
Мир-работы
Х
Хобби-и-рукоделие
И
Искусство-и-развлечения
В
Взаимоотношения
З
Здоровье
К
Кулинария-и-гостеприимство
Ф
Финансы-и-бизнес
П
Питомцы-и-животные
О
Образование
О
Образование-и-коммуникации
Bogqwerty
Bogqwerty
31.01.2022 09:22 •  Математика

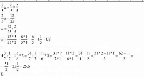
2\5н = 6\5 х2\5 , 4 цел 3\7 : 1\7 - 1цел 5\6 х 3

👇
Ответ:
слава522
слава522
31.01.2022

=================================================


2\5н = 6\5 х2\5 , 4 цел 3\7 : 1\7 - 1цел 5\6 х 3
4,8(73 оценок)
Открыть все ответы
Ответ:
svo20030227
svo20030227
31.01.2022
Проблем напрямую связаны с экологией, что волнует не только ученых и экологов, но и обычных людей.

Природа – это все то, что нас окружает. Это и животные, и растения, и вода, и небо, и земля. Если мы не будем охранять природу и заботится о ней, то, в конце концов, она умрет, и нам просто негде будет жить. Окружающий нас мир играет в нашей жизни большое значение: он дает нам продукты питания, землю, воздух и многое другое. Все эти вещи взаимосвязаны, и если не будет одного, то не будет и другого.

Количество экологических проблем в наше время просто зашкаливает. Это и загрязнение окружающей среды, и вымирание отдельных видов, и истощение минеральных ресурсов, и опустынивание. Люди бездумно используют полезные ископаемые, добывают нефть и газ в огромных количествах, а потом удивляются, что оставшихся запасов хватит лишь на пару сотен лет.

В некоторых странах запасов воды едва хватает, а в других регионах люди оставляют кран включенным и просто так выливают живительные капли. Большое количество заводов и фабрик отрицательно воздействуют на окружающую среду, загрязняя ее отходами. Выхлопные газы, выбрасываемые автомобилями и поездами, а также люди, бездумно выбрасывающие этикетки и фантики где попало тоже являются факторами, из – за которых возникают экологические проблемы. Вырубка лесов, истребление и охота на отдельные виды животных – все это опустошает природу. И такими темпами, от нее ничего не останется.

Именно для того, чтобы окончательно не убить природу по всему миру создаются экологические сообщества, которые охраняют окружающий нас мир. Но для того, чтобы экологических проблем стало меньше, нужно всем людям на планете задуматься о своих действиях. Необходимо бережно относиться к воде, экономить полезные ископаемые и лесные ресурсы, заботиться о видах, находящихся на грани исчезновения. Если каждый человек внесет хотя бы маленький вклад в охрану природу, то окружающий нас мир будет процветать и существовать еще много веков и поколений.

Сочинение про Экологию

Что же означает данное понятие? Экология – это наука о взаимосвязи человека и окружающей среды.

Каждый человек относится к природе по-разному. Кто-то её бережёт, заботиться о ней, иной же только и делает, что беспощадно губит нашу обитательницу. Стоит понимать, что природа – это наше великое достояние, без которого нельзя было бы представить наше существование. Очень печально, что многие люди настроены на природные богатства таким образом, что не защищают их, возобновляя и поддерживая в целости и сохранности, а, наоборот, жадно тратя на свои бездумные ресурсы. Сколько вырублено деревьев по приказам свыше, сколько рек находится в плохом состоянии.

Проанализировав экологию нашей страны, стоит отметить, что загрязнение природы находится на высоком уровне, ибо происходит бесконтрольный сброс стоков промышленных предприятий, что определённо сказывается на качестве воды в тех или иных областях. Если говорить об атмосфере городов, то показатель загрязнённости высок. Нельзя упускать из виду природу, которую мы безжалостно губим. Она наше всё. Без неё трудно видеть чистый и спокойный мир.

Природа не только даёт нам свои блага, но и является большинству родным домом. В литературе есть замечательный тому пример: книга Сенчина под названием «Зона затопления».

Сюжет вкратце таков: строительство Богучанской ГЭС. Это дело государственной важности. Власти необходимо завершить ее строительство. Но в чём же проблема? В жителях деревни, которых по принуждению переселяют из их любимых домов. А ведь там их детство, там они вели хозяйство, там их светлые воспоминания и родные места… Но, если правительству необходимо что-то реализовать, будьте уверены, они это сделают любыми средствами. И у жителей деревни наступает чёрная полоса. Кто-то умирает от инфаркта, другой заражается сибирской язвой, третий же получает инсульт. Строительство ГЭС нанесло серьёзнейший удар по людям, проживающих на данной территории.

Что же самое страшное? А ужасное, прежде всего то, что правительство не думает ни о жителях, ни о природе, которую они беспощадно загубят. Когда деньги в душе человека начинают занимать важное место, забывая о таких понятиях, как человечность, сострадание, он превращается в бездушное существо, которое живет лишь ради себя, не в угоду другим. А от таких людей и страдает природа! Наша окружающая среда во многом зависит от решения власти, которая и решает, где строить то или иное «важное» сооружение.

Поэтому, как видим, литература в своё время поднимала проблему экологии, и сейчас в стране творится та же ситуация. Ничего не меняется. Большинство людей, как были равнодушны к родной обители, так и остались такими же. А так быть не должно! Важно ценить окружающую среду, проявлять заботу к ней. И тогда мир станет не только чище, но лучше
4,4(38 оценок)
Ответ:
irakeksik
irakeksik
31.01.2022

ответ: 6 см и 8 см

Пошаговое объяснение:  Примем одну сторону прямоугольника х, тогда вторая – 14-х.

Площадь прямоугольника равна произведению его сторон. ⇒

х•(14-х)=48, откуда после нескольких действий получим х²-14х+48=0.    По т. Виета  х₁+х₂=14,   х₁•х₂=48. Число 14 можно разложить на 7 и 2, но тогда 7•2≠48. следовательно,  стороны прямоугольника 6 и 8 (сумма 14, их произведение 48)

По т.Виета сумма корней в приведенном квадратном уравнении

x²+p⋅x+q=0

 будет равна коэффициенту при x, который взят с противоположным знаком,   произведение корней будет равно свободному члену, т.е.

x₁+х₂= -p,

x₁•x₂=q

4,4(85 оценок)
Это интересно:
Новые ответы от MOGZ: Математика
Полный доступ к MOGZ
Живи умнее Безлимитный доступ к MOGZ Оформи подписку
logo
Вход Регистрация
Что ты хочешь узнать?
Спроси Mozg
Открыть лучший ответ