М
Молодежь
К
Компьютеры-и-электроника
Д
Дом-и-сад
С
Стиль-и-уход-за-собой
П
Праздники-и-традиции
Т
Транспорт
П
Путешествия
С
Семейная-жизнь
Ф
Философия-и-религия
Б
Без категории
М
Мир-работы
Х
Хобби-и-рукоделие
И
Искусство-и-развлечения
В
Взаимоотношения
З
Здоровье
К
Кулинария-и-гостеприимство
Ф
Финансы-и-бизнес
П
Питомцы-и-животные
О
Образование
О
Образование-и-коммуникации
wadwad1wad
wadwad1wad
22.10.2021 04:10 •  Математика

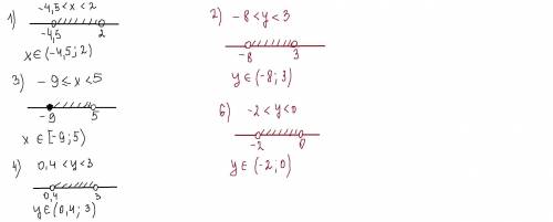
914. Изобразите на координатной прямой множество чисел, удовлетво- ряющих двойному неравенству. Запишите соответствующие проме-
жутки:
1
1) -4,5 < x < 2;
5) OK x 4;
3) -9 = < x < 5;
3
4) 0, 4 < у < 3;
2) -8 <y < 3;
6) -2 <y < 0.​

👇
Ответ:
zonanip
zonanip
22.10.2021

Пошаговое объяснение:

5) OK x 4;   это я решить не смогла,здесь нет двойного неравенства


914. Изобразите на координатной прямой множество чисел, удовлетво- ряющих двойному неравенству. Запи
4,6(19 оценок)
Открыть все ответы
Ответ:
Luky4anovadasha
Luky4anovadasha
22.10.2021
Греческое искусство достигло высшего расцвета своей оригинальности непосредственно к тому времени, когда платон в своих в высшей степени художественных сочинениях выступал с активной критикой его главных принципов. концепция искусства как подражания природе была, по всей видимости, само собой разумеющейся не столько среди пытающихся уточнить и переформулировать ее теоретиков, сколько среди художников. возмущение платона можно хорошо понять, вспоминая разнообразные легенды, повествующие о подражательном мастерстве художников, создававших изображения, обманывавшие своим видом птиц и даже других мастеров. как уже говорилось, платон в «законах» противопоставляет подобной художественной традиции искусство египтян, произведения которых, создаваемые по строгому канону и чуждые подражанию, направлены на изображение вечного и существенного, а не иллюзорного, а принципы изображения не меняются в течение тысячелетий.
4,5(64 оценок)
Ответ:
7gklass2017
7gklass2017
22.10.2021

1. В обыкновенных дробях.

а = 6 1/4 см - длина

b = 6 1/4 - 4 9/20 = 6 5/20 - 4 9/20 = 5 25/20 - 4 9/20 = 1 16/20 = 1 4/5 см - ширина

с = 1 4/5 + 3/5 = 1 7/5 = 2 2/5 см - высота

V = abc = 6 1/4 · 1 4/5 · 2 2/5 = 25/4 · 9/5 · 12/5 = (1·9·3)/(1·1·1) = 27 см³ - объём прямоугольного параллелепипеда.

2. В десятичных дробях.

а = 6 1/4 = 6,25 см - длина

b = 6,25 - 4 9/20 = 6,25 - 4,45 = 1,8 см - ширина

с = 1,8 + 3/5 = 1,8 + 0,6 = 2,4 см - высота

V = abc = 6,25 · 1,8 · 2,4 = 27 см³ - объём прямоугольного параллелепипеда

Вiдповiдь: 27 см³.

4,5(43 оценок)
Это интересно:
Новые ответы от MOGZ: Математика
logo
Вход Регистрация
Что ты хочешь узнать?
Спроси Mozg
Открыть лучший ответ