М
Молодежь
К
Компьютеры-и-электроника
Д
Дом-и-сад
С
Стиль-и-уход-за-собой
П
Праздники-и-традиции
Т
Транспорт
П
Путешествия
С
Семейная-жизнь
Ф
Философия-и-религия
Б
Без категории
М
Мир-работы
Х
Хобби-и-рукоделие
И
Искусство-и-развлечения
В
Взаимоотношения
З
Здоровье
К
Кулинария-и-гостеприимство
Ф
Финансы-и-бизнес
П
Питомцы-и-животные
О
Образование
О
Образование-и-коммуникации
катя5080
катя5080
24.10.2022 01:00 •  Математика

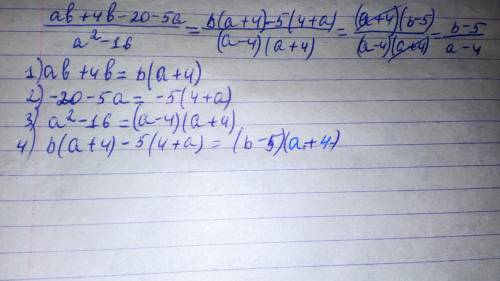
можете решить каждое действие написав .​


можете решить каждое действие написав .​

👇
Ответ:
Алижан07
Алижан07
24.10.2022

Пошаговое объяснение:


можете решить каждое действие написав .​
4,4(65 оценок)
Открыть все ответы
Ответ:
doktornastia03
doktornastia03
24.10.2022
1. не писать скобки, не писать знак +;
    все знаки в скобках оставить без изменений.
2. не писать скобки, не писать -;
    все знаки в скобках заменить на противоположные.
3. умножить это число на каждое число в скобках.
4. которые имеют общую буквенную часть.
5. 5х и 0,4х - подобные
    5х и 5у - не подобные
6. равенство с одной или более неизвестных переменных.
7. число, при подстановке которого вместо переменной равенство превращается в тождество.
8. найти все его корни или доказать что корней нет
9. 0х = 7
10. 1)если к обеим частям уравнения прибавить одно и то же число, то новое уравнение будет равносильно данному.
2) если обе части уравнения умножить на одно и то же не равное нулю число, то новое уравнение будет равносильно данному.
4,4(20 оценок)
Ответ:
вика3878
вика3878
24.10.2022
Искусство — это творческое осмысление окружающего мира талантливым человеком. Плоды этого осмысления принадлежат не только его создателям, а всему человечеству, живущему на планете Земля. Бессмертны прекрасные творения древнегреческих скульпторов и архитекторов, флорентийских мозаичных мастеров, Рафаэля и Микеланджело.. . Данте, Петрарки, Моцарта, Баха, Чайковского. 

Дух захватывает, когда стараешься разумом охватить все, сотворенное гениями, сохраненное и продолженное их потомками и последователями. Сейчас невозможно представить себе, что нашу жизнь не сопровождало бы искусство, творчество. Это утопия, которой, к счастью, никогда не суждено воплотиться в жизнь. Где и когда бы ни жил человек, даже на заре своего развития, он пытался осмыслить окружающий его мир, а значит, стремился понять и образно, доходчиво передать полученные знания следующим поколениям. Так появились настенные рисунки в пещерах — древних становищах человека. И это рождено не только желанием защитить своих потомков от пройденных уже предками ошибок, а передача красоты и гармонии мира, восхищение перед совершенными творениями природы. 

Человечество не топталось на месте, оно поступательно двигалось вперед и выше, так же развивалось и искусство, сопровождающее человека на всех этапах этого долгого и мучительного пути. Если обратиться к эпохе Возрождения, восхищаешься теми высотами, которых достигли художники и поэты, музыканты и архитекторы. 

Бессмертные творения Рафаэля и Леонардо да Винчи до сих пор завораживают своим совершенством, пластикой и глубоким осознанием роли человека в мире, где ему суждено пройти свой недолгий, но прекрасный, порой трагический путь. 

Россия не стала далекой провинцией искусства. Еще на заре своего возникновения она заявила громко и смело о своем праве встать рядом с величайшими творцами Европы: “Слово о полку Игореве”, иконы и росписи Андрея Рублева и Феофана Грека, соборы Владимира, Киева и Москвы. Мы не только гордимся изумительными пропорциями храма Покрова на Нерли и московским Покровским собором, более известным под именем храма Василия Блаженного, но и свято чтим имена создателей, если они остались в памяти народа, как это случилось с зодчими Бармой и Постником. 

Не только древние творения привлекают наше внимание. Мы постоянно сталкиваемся с произведениями искусства в повседневной жизни. Посещая музеи и выставочные залы, мы хотим приобщиться к тому прекрасному миру, который доступен вначале только гениям, а потом остальным, учимся понимать, видеть, впитывать в себя красоту, ставшую уже частью и нашей обычной жизни. 

Искусство тем и прекрасно, что оно создается избранными, а принадлежит миллионам. 

Мы пытаемся понять созданное мастерами, приближаемся к их видению мира. Не это ли главное назначение искусства? Оно предназначено для совершенствования человека. 

Всем быть творцами невозможно, но стараться проникнуть в суть творения гения, приблизиться к пониманию прекрасного — в наших силах. И чем чаще мы становимся созерцателями картин, архитектурных шедевров, слушателями прекрасной музыки, тем лучше для нас и окружающих. 

Искусство многолико, вечно, но, к сожалению, оно не может влиять на людей без их воли, умственного напряжения, определенной работы мысли. Человек должен захотеть научиться видеть и понимать прекрасное, тогда искусство будет благотворно влиять на него, общество в целом. Это, наверное, будет в будущем. А пока талантливые творцы не должны забывать, что их произведения влиять на миллионы, и это может быть благотворным или пагубным. 

В XX веке возросла роль кино, телевидения и видео. Они стали главными кумирами молодежи. И прекрасно, если это доброе, гуманное начало, т. е. истинное искусство с вековыми традициями. 

Но если на наши экраны шагнет пропаганда насилия, культа силы, зла, мы погибнем вслед за незадачливыми героями этих однодневок-боевиков. 

Я верю, что все это временное, преходящее, скоро люди поймут это. Уже многие осозн
4,4(85 оценок)
Это интересно:
Новые ответы от MOGZ: Математика
logo
Вход Регистрация
Что ты хочешь узнать?
Спроси Mozg
Открыть лучший ответ