М
Молодежь
К
Компьютеры-и-электроника
Д
Дом-и-сад
С
Стиль-и-уход-за-собой
П
Праздники-и-традиции
Т
Транспорт
П
Путешествия
С
Семейная-жизнь
Ф
Философия-и-религия
Б
Без категории
М
Мир-работы
Х
Хобби-и-рукоделие
И
Искусство-и-развлечения
В
Взаимоотношения
З
Здоровье
К
Кулинария-и-гостеприимство
Ф
Финансы-и-бизнес
П
Питомцы-и-животные
О
Образование
О
Образование-и-коммуникации
kat19810
kat19810
20.09.2021 19:33 •  Математика

Из чисел 32,3,8,12 составьте пропорцию , как сделать ?

👇
Ответ:
Tixaia
Tixaia
20.09.2021

\frac{12}{32} =\frac{3}{8}

4,4(47 оценок)
Ответ:
полина2059
полина2059
20.09.2021

32 \div 8 = 12 \div 3

Пошаговое объяснение:

Пропорция — это равенство двух отношения.

a \div b = c \div d \Leftrightarrow \frac{a}{b} = \frac{c}{d}

Составляем пропорцию из чисел 32, 3, 8, 12:

32 \div 8 = 12 \div 3

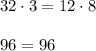
Проверяем:

32 \cdot 3 = 12 \cdot 8 \\\\96 = 96

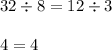
или

32 \div 8 = 12 \div 3 \\\\4 = 4

4,6(77 оценок)
Открыть все ответы
Ответ:
Mariya1985
Mariya1985
20.09.2021
монета (орел/решка)
в случайном эксперименте симметричную монету бросают 4 раза. 
варианты сочетаний с повторением  A =2^4 = 16
 орел НЕ выпадает
pppo  орел выпадет  хотя бы ОДИН раз
ppop  орел выпадет  хотя бы ОДИН раз
popp  орел выпадет  хотя бы ОДИН раз
oppp  орел выпадет  хотя бы ОДИН раз
ppoo  орел выпадет хотя бы один раз
popo  орел выпадет хотя бы один раз

 орел выпадет хотя бы один раз

орел выпадет  хотя бы ОДИН раз   Ao  = 4
вероятность  P = Ao/A= 4/16 = 0.25

орел выпадет хотя бы один раз  A - 1
вероятность  P = (A-1)/A= (16-1)/16 = 0.9375
4,8(25 оценок)
Ответ:
moiseenkooo
moiseenkooo
20.09.2021
У нас всего может выпасть 16( 2 в четвёртой, т.к. за каждый бросок количество комбинаций удваивается - 0 бросков - 1 комбинация, т.е. её просто нет, 1 бросок - 2 комбинации - орёл или решка, 2 броска - 4 комбинации: о-о, о-р,р-о, р-р и т. д.) комбинаций. Комбинаций, в которых орёл выпадает ровно 2 раза, 6 - монета выпадает орлом: 12,13,14,23,24,34(1,2,3,4 - номера бросков)(к слову, комбниаций, когда выпадает орёл ровно 3 раза - 4: 123,124,134,234, когда 1 раз - тоже 4 - 1,2,3,4, когда все 4 раза или не выпадет - по 1 разу(1234 и, соответственно, 0). 6+4+4+1+1=16), вероятность того, что орёл выпадет ровно 2 раза, равна 6/16=3/8=0.375
4,8(43 оценок)
Это интересно:
Новые ответы от MOGZ: Математика
logo
Вход Регистрация
Что ты хочешь узнать?
Спроси Mozg
Открыть лучший ответ