
а) 33 числа
б) 900 трёхзначных чисел; 450 чисел делятся на 2
в) 4 числа на 6 не делятся
г) 3 числа в каждой сотне делится на 26
Пошаговое объяснение:
а) Числа от 1 до 100, делящиеся на 3 без остатка: 3, 6, 9, 12, 15, 18, 21, 24, 27, 30, 33, 36, 39, 42, 45, 48, 51, 54, 57, 60, 63, 66, 69, 72, 75, 78, 81, 84, 87, 90, 93, 96, 99. Итого: 33 числа.
б) всего имеем трёхзначных чисел от 100 до 999, 999-99 = 900
нацело (без остатка) делятся на 2 чётные числа, т. е. половина того, что у нас есть: 900 / 2 = 450 чисел
в) 16,26,46,56, - 4 числа на 6 не делятся
6,36,66 - делятся на 6
г)26,52,78 - 3 числа в каждой сотне делится на 26
Пошаговое объяснение:
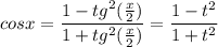
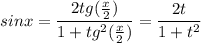
есть такое понятие как универсальная тригонометрическая подстановка, или подстановка Вейерштрасса
она применяется при интегрировании, когда подынтегральное выражение рационально зависит от тригонометрических функций. такая замена позволяет свести интеграл от тригонометрической функции к интегралу от рациональной функции.
это подстановка вида
а дальше получаем
ну, а если не понятно, просто изучите тему "универсальная тригонометрическая подстановка (подстановка Вейерштрасса)"