М
Молодежь
К
Компьютеры-и-электроника
Д
Дом-и-сад
С
Стиль-и-уход-за-собой
П
Праздники-и-традиции
Т
Транспорт
П
Путешествия
С
Семейная-жизнь
Ф
Философия-и-религия
Б
Без категории
М
Мир-работы
Х
Хобби-и-рукоделие
И
Искусство-и-развлечения
В
Взаимоотношения
З
Здоровье
К
Кулинария-и-гостеприимство
Ф
Финансы-и-бизнес
П
Питомцы-и-животные
О
Образование
О
Образование-и-коммуникации
yohoho365
yohoho365
31.10.2022 22:44 •  Математика

Нужно решить 2 из 5 любых диф. уравнения из списка. Ставлю максимальный бал
Если что-то непонятно по цифрам и тд, то спрашивайте. Отвечу сразу!


Нужно решить 2 из 5 любых диф. уравнения из списка. Ставлю максимальный бал Если что-то непонятно п

👇
Ответ:
DashaT141
DashaT141
31.10.2022

1.

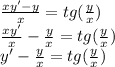
\frac{xy' - y}{x} = tg( \frac{y}{x} ) \\ \frac{xy'}{x} - \frac{y}{x} = tg( \frac{y}{x} ) \\ y'- \frac{y}{x} = tg( \frac{y}{x} )

однородное ДУ

Замена:

\frac{y}{x} = U\\ y = Ux \\ y'= U'x + U

U'x + U - U = tg(U) \\ \frac{dU}{dx} \times x = tg(U) \\ \int\limits \frac{dU}{tgU} = \int\limits \frac{dx}{x} \\ \int\limits \frac{ \cos(U) }{ \sin(U) } dU= ln(x) + C \\ \int\limits \frac{d( \sin(U)) }{ \sin(U) } = ln(x) + ln(C)

константу можно представить в любом виде, для удобства преобразования пишу lnC

ln( \sin(U) ) = ln(x) + ln(C) \\ ln( \sin(U) ) = ln(Cx) \\ \sin(U) = Cx \\ \sin( \frac{y}{x} ) = Cx

общее решение

4.

( {x}^{2} + {y}^{2} + y)dx = xdy \\y' = \frac{ {x}^{2} + {y}^{2} + y}{x}

однородное ДУ

Замена:

y = Ux \\ y = U'x + U

U'x + U = \frac{ {x}^{2} + {(Ux)}^{2} + Ux}{x} \\ U'x + U = \frac{x(x + {U}^{2}x + U) }{x} \\ U'x + U = {U}^{2} x + x + U \\ U'x = x( {U}^{2} + 1) \\ \int\limits \frac{dU}{dx} \times x = x( {U}^{2} + 1) \\ \int\limits \frac{dU}{{U}^{2} + 1 } = \int\limits \: dx \\ arctgU = x + C \\ arctg( \frac{y}{x} ) = x + C

общее решение

4,4(55 оценок)
Открыть все ответы
Ответ:
vlad20077
vlad20077
31.10.2022
 ответ будет довольно многословным,  но, надеюсь, понятным.  
Удаленность от единицы означает число ( или расстояние на координатной прямой),  которого не хватает  дроби, чтобы стать единицей. 
Вы помните. что любая дробь, у которой числитель и знаменатель равны, равна единице.  
Первой дроби для того, чтобы стать единицей,  то-есть до 111/111,  недостает 1/111, 
второй недостает меньше, т.е. не хватает 1/112 для того, чтобы стать полноценной  единицей  112/112 .
К какому числу нужно прибавить больше, то число от единицы дальше. 
При сравнении дробей с одинаковым числителем меньше та дробь, знаменатель которой больше.  
Поясню на жизненном примере.
Вы купили торт и съели его в кругу семьи,  состав которой 6 человек. 
Каждому досталось по 1/6 торта. 
Но в другой раз пришли гости, и торт поделили на 10 человек.  
Каждому досталось 1/10 часть торта.
 Больше каждый получил, или меньше?
Естественно, что  на чем большее количество мы делим что-то,
тем меньше получается каждый кусок ( часть).
И 1/6 больше, чем 1/10. 
Вернемся к сравниваемым дробям.
Первой дроби не хватает до единицы 1/111, и это  больше, чем 1/112 ( числители одинаковые, знаменатели - разные) .
Поэтому дробь  110/111 более удалена от единицы, чем 111/112.  
4,7(3 оценок)
Ответ:
addj1404
addj1404
31.10.2022
 ответ будет довольно многословным,  но, надеюсь, понятным.  
Удаленность от единицы означает число ( или расстояние на координатной прямой),  которого не хватает  дроби, чтобы стать единицей. 
Вы помните. что любая дробь, у которой числитель и знаменатель равны, равна единице.  
Первой дроби для того, чтобы стать единицей,  то-есть до 111/111,  недостает 1/111, 
второй недостает меньше, т.е. не хватает 1/112 для того, чтобы стать полноценной  единицей  112/112 .
К какому числу нужно прибавить больше, то число от единицы дальше. 
При сравнении дробей с одинаковым числителем меньше та дробь, знаменатель которой больше.  
Поясню на жизненном примере.
Вы купили торт и съели его в кругу семьи,  состав которой 6 человек. 
Каждому досталось по 1/6 торта. 
Но в другой раз пришли гости, и торт поделили на 10 человек.  
Каждому досталось 1/10 часть торта.
 Больше каждый получил, или меньше?
Естественно, что  на чем большее количество мы делим что-то,
тем меньше получается каждый кусок ( часть).
И 1/6 больше, чем 1/10. 
Вернемся к сравниваемым дробям.
Первой дроби не хватает до единицы 1/111, и это  больше, чем 1/112 ( числители одинаковые, знаменатели - разные) .
Поэтому дробь  110/111 более удалена от единицы, чем 111/112.  
4,8(60 оценок)
logo
Вход Регистрация
Что ты хочешь узнать?
Спроси Mozg
Открыть лучший ответ