М
Молодежь
К
Компьютеры-и-электроника
Д
Дом-и-сад
С
Стиль-и-уход-за-собой
П
Праздники-и-традиции
Т
Транспорт
П
Путешествия
С
Семейная-жизнь
Ф
Философия-и-религия
Б
Без категории
М
Мир-работы
Х
Хобби-и-рукоделие
И
Искусство-и-развлечения
В
Взаимоотношения
З
Здоровье
К
Кулинария-и-гостеприимство
Ф
Финансы-и-бизнес
П
Питомцы-и-животные
О
Образование
О
Образование-и-коммуникации
driftsmuk1
driftsmuk1
24.05.2020 03:39 •  Математика

Знайди значення в разу -147 + 78 - 53 - 78 +6,9​

👇
Ответ:
mihksy17
mihksy17
24.05.2020

изиии

иииииииииииииииииии


Знайди значення в разу -147 + 78 - 53 - 78 +6,9​
4,5(32 оценок)
Ответ:
Volosyaka
Volosyaka
24.05.2020

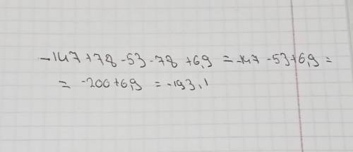
-193.1

Пошаговое объяснение:

1)-69

2)-122

3)-200

4)-193.1

По действиям решила

4,5(39 оценок)
Открыть все ответы
Ответ:
likeaboss2005
likeaboss2005
24.05.2020

        sosi

Пошаговое объяснение:

        sosi

Пошаговое объяснение:

        sosi

Пошаговое объяснение:

Пошаговое объяснение:

sosi sosi sosi sosi sosi sosi sosi sosi sosi sosi sosi sosi sosi sosi sosi sosi sosi sosi sosi sosi sosi sosi sosi sosi sosi sosi sosi sosi sosi sosi sosi sosi sosi sosi sosi sosi sosi sosi sosi sosi sosi sosi sosi sosi sosi sosi sosi sosi sosi sosi sosi sosi sosi sosi sosi sosi sosi sosi sosi sosi sosi sosi sosi sosi sosi sosi sosi sosi sosi sosi sosi sosi sosi sosi sosi sosi sosi sosi sosi sosi sosi sosi sosi sosi sosi sosi sosi sosi sosi sosi sosi sosi sosi

4,7(37 оценок)
Ответ:
iljakrainik
iljakrainik
24.05.2020
1а) 3 км : 750 м = 3000 м : 750 м = 4

1б) 300 м : 2,1 км = 300 м : 2100 м = 1/7

1в) 700 г : 1 кг = 700 г : 1000 г = 7/10 = 0,7

1г) 20 т : 160 кг = 20 000 кг : 160 кг = 125

2а) 2 ч : 60 стр = 1/30 ч/стр (время на чтение одной страницы)
60 стр : 2 ч = 30 стр/ч (количество страниц за 1 час)

2б) 20 м : 160 р = 1/8 м/р (столько метров можно купить за 1 рубль)
160 р : 20 м = 8 р/м (стоимость 1 метра)

2в) 10 шаг : 4 м = 2,5 шаг/м (столько шагов надо, чтобы пройти 1 м)
4 м : 10 шаг = 0,4 м/шаг (длига 1 шага)

2г) 30 стр : 5 мин = 6 стр/мин (столько страниц печатает принтер за 1 мин)
5 мин : 30 стр = 1/6 мин/стр (время, чтобы распечатать 1 страницу)

3. 1,5 км/с : 300 м/с = 1500 м/с : 300 м/с = 5
Скорость артснаряда в 5 раз больше скорости звука, т.е. сначала в тебя попадёт снаряд, только потом услышишь звук выстрела.
300 м/с : 1500 м/с = 1/5
Скорость звука составляет одну пятую часть скорости артснаряда.
4,4(51 оценок)
Это интересно:
Новые ответы от MOGZ: Математика
logo
Вход Регистрация
Что ты хочешь узнать?
Спроси Mozg
Открыть лучший ответ