М
Молодежь
К
Компьютеры-и-электроника
Д
Дом-и-сад
С
Стиль-и-уход-за-собой
П
Праздники-и-традиции
Т
Транспорт
П
Путешествия
С
Семейная-жизнь
Ф
Философия-и-религия
Б
Без категории
М
Мир-работы
Х
Хобби-и-рукоделие
И
Искусство-и-развлечения
В
Взаимоотношения
З
Здоровье
К
Кулинария-и-гостеприимство
Ф
Финансы-и-бизнес
П
Питомцы-и-животные
О
Образование
О
Образование-и-коммуникации
stas952011217217
stas952011217217
10.01.2023 17:24 •  Математика

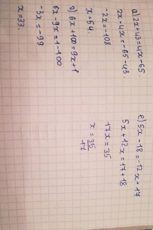
Б) 2х+43=4х-65 =
Г)6х+100=9х+1= ОТВЕТ

👇
Ответ:
Alexxx25
Alexxx25
10.01.2023

Пошаговое объяснение:


Б) 2х+43=4х-65 = Г)6х+100=9х+1= ОТВЕТ
4,7(16 оценок)
Ответ:
cucuruza5
cucuruza5
10.01.2023

2х+43=4х-65

х=18

6х+100=9х+1

х=-0,15

4,4(52 оценок)
Открыть все ответы
Ответ:
Katykazazaeva
Katykazazaeva
10.01.2023
Аня нашла 16 грибов, Вера - 27, Галя тоже 27.
а) Сколько грибов должна найти Даша, чтобы у нее вместе с Галей оказалось столько же грибов, сколько у Ани с Верой?
1) Аня+Вера: 16+27=43 (гриба) - у Ани с Верой
2) Даша+Галя: 43-27=16 (грибов) - должна найти Даша

б) Сколько грибов у Ани с Верой вместе? А у Гали с Дашей?
Аня+Вера: 16+27=43 (гриба) - у Ани с Верой
Галя+ Даша: 27+16=43 (гриба) - у Гали с Дашей

в) Сколько грибов у всех девочек вместе?
Аня+Вера+Галя+Даша = 16+27+27+16=43+43=86 (грибов) - собрали все девочки вместе

г) У Ани с Дашей вместе грибов меньше, чем у Веры с Галей. На сколько меньше?
Аня+Даша: 16+16=32 (гриба) - у Ани с Дашей
Вера+Галя: 27+27=54 (гриба) - у Веры с Галей
54-32=22 (гриба) - у Ани с Дашей меньше, чем у Веры с Галей.
4,7(68 оценок)
Ответ:
Ткацкий станок — основная машина ткацкого производства, оборудование или устройство для изготовления всевозможных видов ворсовых, гладких, плетёных полотен и ковров: льняных, конопляных, хлопчатобумажных, шёлковых, шерстяных, а также прочей продукции текстильной промышленности.Ткацкий станок служит человечеству с древних времён. В некоторых сельских домах и поныне можно встретить ручные, требующие кропотливого труда, усердия и терпения ткацкие (и ковроткацкие) станки. Даже в масштабах производства, для изготовления высокохудожественных, орнаментальных и сюжетных ковров (гобеленов, килимов) ручного производства используют всё те же, известные с незапамятных времён, вертикальные (представляющие собой простую раму с натянутыми нитями основы) и горизонтальные ручные станки. В остальном, в наши дни, ткацкий станок, это сложное, высокотехнологичное и высокопроизводительное электронное оборудование. Основные виды ткацких станков Существуют ручные, полумеханические, механические и автоматизированные станки. Высокопроизводительные автоматические станки, гидравлические, пневматические, пневморапирные и др. По конструкции различают плоские станки и круглые (используют только для выработки специальных тканей, например рукавных). Станки могут быть узкими (вырабатывают ткань шириной до 100 см) и широкими, предназначаться для лёгких, средних и тяжёлых тканей. Есть станки для тканей простых переплетений (эксцентриковые), для мелкоузорчатых тканей (кареточные) и для тканей с крупным, сложным узором (жаккардовые).
4,7(65 оценок)
Это интересно:
Новые ответы от MOGZ: Математика
logo
Вход Регистрация
Что ты хочешь узнать?
Спроси Mozg
Открыть лучший ответ