М
Молодежь
К
Компьютеры-и-электроника
Д
Дом-и-сад
С
Стиль-и-уход-за-собой
П
Праздники-и-традиции
Т
Транспорт
П
Путешествия
С
Семейная-жизнь
Ф
Философия-и-религия
Б
Без категории
М
Мир-работы
Х
Хобби-и-рукоделие
И
Искусство-и-развлечения
В
Взаимоотношения
З
Здоровье
К
Кулинария-и-гостеприимство
Ф
Финансы-и-бизнес
П
Питомцы-и-животные
О
Образование
О
Образование-и-коммуникации
Cat125387
Cat125387
31.08.2022 04:34 •  Математика

решить уравнения ,решал 100 раз не получается ,нужно прямо сейчас.


решить уравнения ,решал 100 раз не получается ,нужно прямо сейчас.

👇
Ответ:
alskyuq
alskyuq
31.08.2022

Пошаговое объяснение:

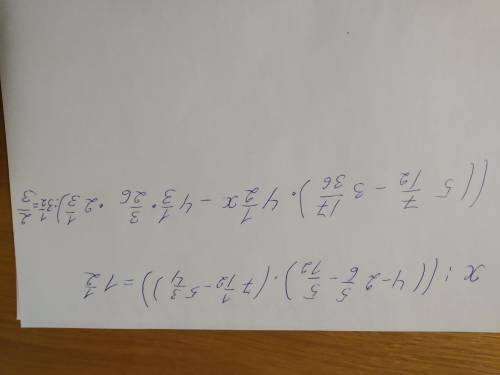
Все в прикреплённом фото


решить уравнения ,решал 100 раз не получается ,нужно прямо сейчас.
4,7(18 оценок)
Открыть все ответы
Ответ:
еанеа
еанеа
31.08.2022
  Жила –была капелька воды. Он была очень жидкой и мокрой. Её жизнь проходила среди бесконечного множества других капель и вместе они образовывали реки, озера, пруды, болота, моря и океаны.   Внешне капельки почти ни чем не отличались друг от друга, но одни капельки были солеными, а другие пресными. Их так и называли, пресная и соленая вода.   Капельке было несколько миллиардов лет, как и самой воде. За это время где только и кем только она ни бывала.   Благодаря особенным свойствам воды, капелька принимала различные формы и через них переживала разные ощущения.Миллиарды раз она совершала свой круговорот в природе. Ей всегда нравились её особенные состояния и через них она познавала окружающий мир. Ей нравилось превращаться в пар, в газ –невидимку, она всех и всё видела, а её никто не видел. Ей нравилось быть снежинкой и медленно падать на землю и превращать землю в серебро и алмазы.  Она могла застыть, замереть и оставаться без движения некоторое время, превратившись в ледник и с огромной высоты заснеженных и ледяных гор созерцать природную красоту.  Растаяв, она текла с гор бурным, быстрым потоком и на высокой скорости, петляя между ущельями, спускалась в долины.  Спускаясь с гор, она испытывала ощущения высокой скорости, её охватывал азарт. Она омывала большие валуны, текла под лежачие камни, водопадом сбрасывалась с крутых горных уступов и скал и пока летела, свободно парила в воздухе как птица. Её охватывал восторг, адреналин зашкаливал, она получала сильные впечатления и острые ощущения.   Падая водопадом, она ударялась о другие капли, образовывались разноцветные брызги и появлялась радуга.  На мгновение капля превращалась в брызги и теряла свою целостность. В этот момент капли не было.  Она превращалась в НИЧТО, словно умирала, но это был только момент. Попадая в воду, она снова себя находила и обретала свою целостность.   Превращаясь в пар и, исчезая из вида, капелька легко и свободно поднималась в небо и присоединялась к другим капелькам, превращаясь в облака. Ветер их подхватывал  и капелька путешествовала над землей. Затем в виде дождя она выпадала на различные участки земной суши, орошая собой флору земли  и, наполняя земные водоемы.  Не было на земле места, которого бы не знала капелька. Капелька воды знала и видела всё на земле, над землей, под землей, под водой.  Капелька обладала абсолютной информационной базой данных об эволюции Земли, природы и всего того, что эволюционирует на земле, в воде и в воздухе.Капелька постоянно меняла свою внешнюю форму, но никогда не меняла свою внутреннюю суть. Она всегда себя помнила и знала, что она есть всегда, как я ЕСМЬ ВЕЧНО.  Преобразования себя жидкую в газообразную  и твердую и наоборот – есть перерожденные воплощения, в которые легко воплощается капелька.  Капелька знает, что она всегда остается сама собой в какие бы формы себя не воплощала. Ей одинаково хорошо существовать в любых своих формах.  Она не страдает, если ей надо стать твердой или газообразной, видимой или невидимой., при этом потерять свою текучесть и жидкое состояние или твердое состояние льда.  Капелька, обладая памятью, помнит все свои воплощения, обладая сутью бессмертного и пробужденного сознания, знает, что бессмертна и вечна.  Человек, это аналогия капельки, существование которого подобна бессмертной капельке воды.  Организм человека состоит на 70% из воды, т.о. капелька дает жизнь всему человеку. Капелька воды есть в каждой клетке организма человека, и она является воистину эликсиром жизни для каждой клетки и всего организма в целом. Человек без воды высыхает и превращается в мумию. Капелька живет и не считает, что её жизнь полна приключений, хотя её жизнь действительно полна приключений.
4,8(6 оценок)
Ответ:
15602218s1
15602218s1
31.08.2022
Задача № 1.
1) 5, 5 * 0,8 = 4,4 (км) - расстояние от Заречной до Мухино
2) 12,5 * 1,4 = 17,5 (км) - расстояние от Мухино до Каменки.
3) 17, 5 - 4,4 = 13,1 (км)
ответ: на 13,1 км Мухино дальше от Каменки, чем от Заречной.

Задача № 2
                                                                                                                
    Измерения                  I      A        I      Б        I      B          I       Г        

Объём = (а*б*с) см^3         283,2          282         1,43514      8,33796 
 
Площадь поверхности
2(а*б + с*а + б*с) см^2       284, 8         330,1      9,3038       14, 7713

Сумма длин рёбер
4(а + б + с) см                     87,6            24,6        16,16          29,04
                          
4,7(22 оценок)
Это интересно:
Новые ответы от MOGZ: Математика
Полный доступ к MOGZ
Живи умнее Безлимитный доступ к MOGZ Оформи подписку
logo
Вход Регистрация
Что ты хочешь узнать?
Спроси Mozg
Открыть лучший ответ