М
Молодежь
К
Компьютеры-и-электроника
Д
Дом-и-сад
С
Стиль-и-уход-за-собой
П
Праздники-и-традиции
Т
Транспорт
П
Путешествия
С
Семейная-жизнь
Ф
Философия-и-религия
Б
Без категории
М
Мир-работы
Х
Хобби-и-рукоделие
И
Искусство-и-развлечения
В
Взаимоотношения
З
Здоровье
К
Кулинария-и-гостеприимство
Ф
Финансы-и-бизнес
П
Питомцы-и-животные
О
Образование
О
Образование-и-коммуникации
Natanahgy
Natanahgy
31.07.2020 20:58 •  Математика

Решение уравнения :
а) 6х-5=19
б)1/4х=2
ответ:​

👇
Ответ:
Artemkizaru
Artemkizaru
31.07.2020

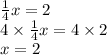
А)

6x - 5 = 19 \\ 6x = 19 + 5 \\ 6x = 24 \\ x = 24 \div 6 \\ x = 4

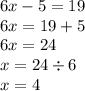
Б)

\frac{1}{4} x = 2 \\ 4 \times \frac{1}{4} x = 4 \times 2 \\ x = 2

4,5(66 оценок)
Ответ:
tanushkako
tanushkako
31.07.2020

Пошаговое объяснение:

a)6x=19+5

6x=24

x=4

b)x=2÷1/4

x=2×4

x=8

4,7(68 оценок)
Открыть все ответы
Ответ:
TATARIN001
TATARIN001
31.07.2020
S=a*b   a=?м   b=6м   S=36м²                                                                            а*6=36                                                                                                               а=36:6                                                                                                               а=6(м) - длина каждой клумбы                                                                       S=a*b   a=6м   b=?м   S=24м²                                                                             6*b=24                                                                                                             b=24:6                                                                                                               b=4(м) - ширина второй клумбы                                                                               ответ: ширина второй клумбы 4 метра.                                              
4,5(10 оценок)
Ответ:
dianabalaganska
dianabalaganska
31.07.2020

Поставь лайк и отметить как лучшее решение

а) |7х|=24,5 (вычеслить)

7×|х|= 24,5 (разделяем обе стороны)

|х|=3,5 (рассмотрим все возможные случаи)

х=3,5 х=–3,5 (уравнения имеет 2 решения)

Х1=3,5 Х2=–3,5

б) |5х+2,1|=0,2 (рассмотреть все возможные случаи)

5х+2,1=0,2

5х+2,1=–0,2 (решить уравнения)

х=–0,38

х=–0,46 (уравнения имеет 2 решения)

Х1=–0,38 Х2=–0,46

с) |9х+27|-4=0,5 (перенести константу в правую часть уравнения)

|9х+27|=0,5+4 (вычислить)

|9х+27|=4,5 (рассмотреть все возможные случаи)

9х+27=4,5

9х+27=–4,5 (решить уравнения)

х=–2,5

х=–3,5 (уравнения имеет 2 решения)

Х1=–3,5 Х2=–2,5

Поставь лайк и отметить как лучшее решение

4,7(20 оценок)
Это интересно:
Новые ответы от MOGZ: Математика
logo
Вход Регистрация
Что ты хочешь узнать?
Спроси Mozg
Открыть лучший ответ