М
Молодежь
К
Компьютеры-и-электроника
Д
Дом-и-сад
С
Стиль-и-уход-за-собой
П
Праздники-и-традиции
Т
Транспорт
П
Путешествия
С
Семейная-жизнь
Ф
Философия-и-религия
Б
Без категории
М
Мир-работы
Х
Хобби-и-рукоделие
И
Искусство-и-развлечения
В
Взаимоотношения
З
Здоровье
К
Кулинария-и-гостеприимство
Ф
Финансы-и-бизнес
П
Питомцы-и-животные
О
Образование
О
Образование-и-коммуникации
SashaWest
SashaWest
18.05.2021 02:41 •  Математика

Нужно решить номер 3,если не сложно ,то с подробным описанием


Нужно решить номер 3,если не сложно ,то с подробным описанием

👇
Ответ:
maulee502owkszf
maulee502owkszf
18.05.2021

а

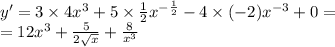
y = 3 {x}^{4} + 5 {x}^{ \frac{1}{2} } - 2 {x}^{ - 1} - 4 {x}^{ - 2} + 9 \\

y' = 3 \times 4 {x}^{3} + 5 \times \frac{1}{2} {x}^{ - \frac{1}{2} } - 4 \times ( - 2) {x}^{ - 3} + 0 = \\ = 12 {x}^{3} + \frac{5}{2 \sqrt{x} } + \frac{8}{ {x}^{3} }

б

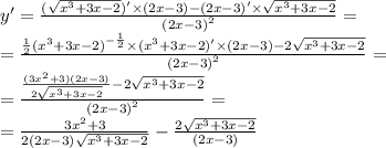
y = \frac{ \sqrt{ {x}^{3} + 3x - 2} }{2x - 3} \\

y' = \frac{( \sqrt{ {x}^{3} + 3x - 2})' \times (2x - 3) - (2x - 3) '\times \sqrt{ {x}^{3} + 3x - 2 } }{ {(2x - 3)}^{2} } = \\ = \frac{ \frac{1}{2} {( {x}^{3} + 3x - 2) }^{ - \frac{1}{2} } \times ( {x}^{3} + 3x - 2) '\times (2x - 3) - 2 \sqrt{ {x}^{3} + 3x - 2} }{ {(2x - 3)}^{2} } = \\ = \frac{ \frac{(3 {x}^{2} + 3)(2x - 3) }{2 \sqrt{ {x}^{3} + 3x - 2} } - 2 \sqrt{ {x}^{3} + 3x - 2} }{ {(2x - 3)}^{2} } = \\ = \frac{3 {x}^{2} + 3 }{2(2x - 3) \sqrt{ {x}^{3} + 3x - 2 } } - \frac{2 \sqrt{ {x}^{3} + 3x - 2} }{(2x - 3)}

в

y = {( ln(x) + tgx + {x}^{ - 1} )}^{3} \\

y' = 3 {( ln(x) + tgx + {x}^{ - 1}) }^{2} \times ( ln(x) + tgx + {x}^{ - 1} )' = \\ = 3( ln(x) + tgx + \frac{1}{x} ) ^{2} \times ( \frac{1}{ x} + \frac{1}{ { \cos}^{2} x} - \frac{1}{ {x}^{2} } )

г

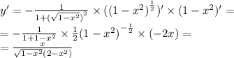
y = arcctg \sqrt{1 - {x}^{2} } \\

y' = - \frac{1}{1 + {( \sqrt{1 - {x}^{2} }) }^{2} } \times ( {(1 - {x}^{2} )}^{ \frac{1}{2} } )' \times (1 - {x}^{2} )' = \\ = - \frac{1}{1 + 1 - {x}^{2} } \times \frac{1}{2} {(1 - {x}^{2}) }^{ - \frac{1}{2} } \times ( - 2x) = \\ = \frac{x}{ \sqrt{1 - {x}^{2} } (2 - {x}^{2}) }

д

y = \sin( {2}^{x} + 4) - {(tgx - {x}^{3} )}^{2}

y' = \cos( {2}^{x} + 4) \times ( {2}^{x} + 4) '- 3 {(tgx - {x}^{3} )}^{2} \times (tgx - {x}^{3} )' = \\ = \cos( {2}^{x} + 4) \times ln(2) \times {2}^{x} - 3 {(tgx - {x}^{3} )}^{2} \times ( \frac{1}{ { \cos}^{2}x } - 3 {x}^{2} )

4,4(35 оценок)
Открыть все ответы
Ответ:
Притти
Притти
18.05.2021
В заключение летописного рассказа приводится факт, который вызвал особый восторг тех, кто сомневался в достоверности летописных сообщений: там говорится, как после утверждения мира, о котором речь еще впереди, Олег в знак победы повесил свой щит на воротах города и лишь тогда ушел на родину: «И повеси щит свой въ вратах показуа победу, и поиде от Царяграда».Немало потешались по этому поводу историки-нигилисты, считая это сообщение самым легендарным во всем рассказе, наряду с движением ладей посуху под парусами. Но потешаться-то, в общем, было не над чем. Многие историки отмечали, что сообщения о подобного рода символических актах неоднократно доходят до пас из древности и не представляют никакой легенды. Так, болгарский хан Тервел в начале VIII века, после войны с Византией и заключения с ней мира, повесил свой щит на воротах одной из византийских крепостей. А несколько десятилетий спустя другой болгарский владыка - хан Крум - домогался в знак победы над византийцами воткнуть копье в ворота  Константинополя.Обычай вешать свой щит на ворота города в знак мира был широко распространен у древних норманнов. Таким образом, «легенда» приобретает реальные черты и    может    явиться    еще    одним   подтверждением  достоверности похода Олега на Константинополь в 907 году.
4,8(99 оценок)
Ответ:
AlenaStypak
AlenaStypak
18.05.2021
В заключение летописного рассказа приводится факт, который вызвал особый восторг тех, кто сомневался в достоверности летописных сообщений: там говорится, как после утверждения мира, о котором речь еще впереди, Олег в знак победы повесил свой щит на воротах города и лишь тогда ушел на родину: «И повеси щит свой въ вратах показуа победу, и поиде от Царяграда».Немало потешались по этому поводу историки-нигилисты, считая это сообщение самым легендарным во всем рассказе, наряду с движением ладей посуху под парусами. Но потешаться-то, в общем, было не над чем. Многие историки отмечали, что сообщения о подобного рода символических актах неоднократно доходят до пас из древности и не представляют никакой легенды. Так, болгарский хан Тервел в начале VIII века, после войны с Византией и заключения с ней мира, повесил свой щит на воротах одной из византийских крепостей. А несколько десятилетий спустя другой болгарский владыка - хан Крум - домогался в знак победы над византийцами воткнуть копье в ворота  Константинополя.Обычай вешать свой щит на ворота города в знак мира был широко распространен у древних норманнов. Таким образом, «легенда» приобретает реальные черты и    может    явиться    еще    одним   подтверждением  достоверности похода Олега на Константинополь в 907 году.
4,7(21 оценок)
Новые ответы от MOGZ: Математика
logo
Вход Регистрация
Что ты хочешь узнать?
Спроси Mozg
Открыть лучший ответ