М
Молодежь
К
Компьютеры-и-электроника
Д
Дом-и-сад
С
Стиль-и-уход-за-собой
П
Праздники-и-традиции
Т
Транспорт
П
Путешествия
С
Семейная-жизнь
Ф
Философия-и-религия
Б
Без категории
М
Мир-работы
Х
Хобби-и-рукоделие
И
Искусство-и-развлечения
В
Взаимоотношения
З
Здоровье
К
Кулинария-и-гостеприимство
Ф
Финансы-и-бизнес
П
Питомцы-и-животные
О
Образование
О
Образование-и-коммуникации
Люсик20
Люсик20
17.12.2021 22:39 •  Математика

ЗАДАНИЕ НА ФОТО РЕШИТЬ ИНТЕГРАЛЫ


ЗАДАНИЕ НА ФОТО РЕШИТЬ ИНТЕГРАЛЫ

👇
Ответ:
Erikalallala
Erikalallala
17.12.2021

1)\ \int \dfrac{x^4}{x^2-3}\, dx=\int \Big(x^2+3+\dfrac{9}{x^2-3}\Big)\, dx=\dfrac{x^3}{3}+3x+9\cdot \dfrac{1}{2\sqrt3}\cdot ln\Big|\, \dfrac{x-\sqrt3}{x+\sqrt3}\, \Big|+C

2)\ \ \int (1-cosx)^2\, dx=\int (1-2cosx+cos^2x)\, dx=\int (1-2cosx+\dfrac{1+cos2x}{2})\, dx=\\\\\\=x-2sinx+\dfrac{1}{2}\, x+\dfrac{sin2x}{4}+C

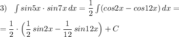
3)\ \ \int sin5x\cdot sin7x\, dx=\dfrac{1}{2}\int (cos2x-cos12x)\, dx=\\\\=\dfrac{1}{2}\cdot \Big(\dfrac{1}{2}\, sin2x-\dfrac{1}{12}\, sin12x\Big)+C

4,4(10 оценок)
Открыть все ответы
Ответ:
lizavetttok
lizavetttok
17.12.2021
На поле 64 клетки, если белый  король будет стоять на угловой клетке, он не будет давать расположить черного короля на 4 клетках, включаю ту на которой стоит, следовательно 4 угла * (64-4)=240 вариантов расположения.  далее есть четыре крайних горизонтали и вертикали, стоя на которых   белый король будет занимать 6 клеток, включая ту на которой стоит, в каждой такой горизонтали и вертикали есть по два угла, которые уже учтены, следовательно 4 * (8-2) * (64-(4*(8-2))=24*40=960 вариантов.  неучтенными остались 64-4-(4*(8-2)=36 клеток, стоя на которых белый король будет занимать 9 клеток, включая ту на которой стоит, следовательно 36 * (64-9)=1980 вариантов.  общее кол-во вариантов=240+960+1980=3180  если поменять местами белого и черного короля, то добавится такое же кол-во вариантов, следовательно ответ 3180*2=6360 способов
4,4(59 оценок)
Ответ:
NikitaVaselenk
NikitaVaselenk
17.12.2021
Качество - это совокупность биологических и психических свойств личности человека, выражающие его готовность осуществлять активные двигательные действия. быстрота - это способность человека выполнять двигательные действия в минимальное для данных условий время, без снижения эффективности техники, выполняемого двигательного действия. ловкость - это способность человека решать двигательную за короткий период обучения, а также перестраивать свои двигательные действия, в изменяющихся внешних условиях. сила - это способность человека преодолевать внешние и внутренние сопротивления, по средству мышечных напряжений. гибкость - это способность человека выполнять движения с максимальной амплитудой. выносливость - это способность человека противостоять утомлению, выполнять работу без ее эффективности.
4,6(46 оценок)
Это интересно:
Новые ответы от MOGZ: Математика

MOGZ ответил

Полный доступ к MOGZ
Живи умнее Безлимитный доступ к MOGZ Оформи подписку
logo
Вход Регистрация
Что ты хочешь узнать?
Спроси Mozg
Открыть лучший ответ